Официальное опубликование правовых актов
ОФИЦИАЛЬНОЕ ОПУБЛИКОВАНИЕ
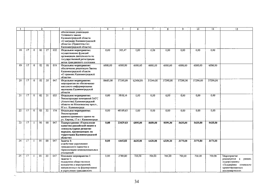
Постановление Правительства Калининградской области от 20.02.2015 № 80
"О внесении изменений в постановление Правительства Калининградской области от 17 декабря 2013 года № 954 и признании утратившими силу отдельных постановлений (отдельных положений постановлений) Правительства Калининградской области"
Номер опубликования: 3900201502260001
Дата опубликования: 26.02.2015
Страница №61 из 72:
Увеличить