Официальное опубликование правовых актов
ОФИЦИАЛЬНОЕ ОПУБЛИКОВАНИЕ
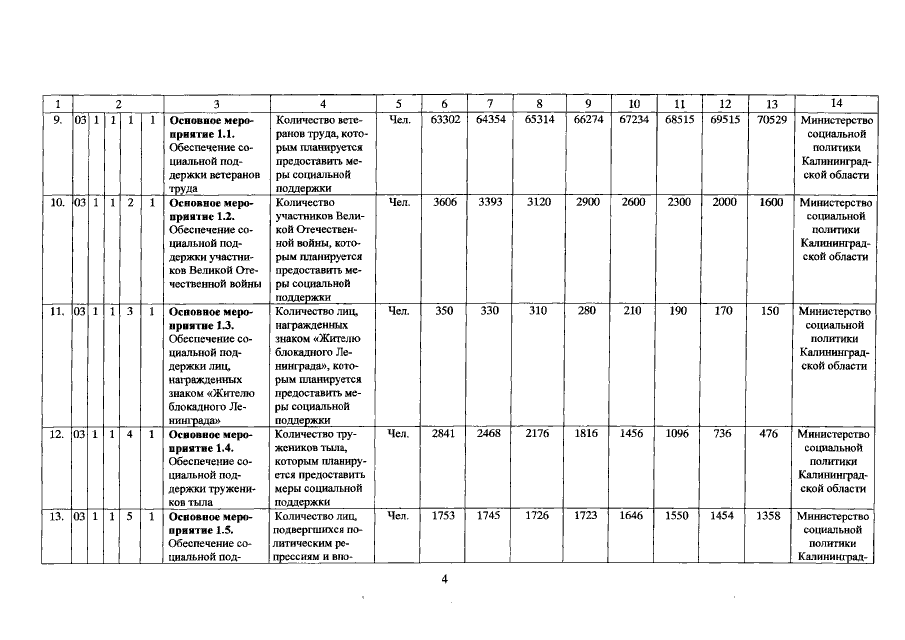
Постановление Правительства Калининградской области от 12.01.2015 № 1
"О внесении изменений в постановление Правительства Калининградской области от 18 ноября 2013 года № 848 и признании утратившими силу отдельных постановлений (отдельных положений постановлений) Правительства Калининградской области"
Номер опубликования: 3900201501200001
Дата опубликования: 20.01.2015
Страница №28 из 141:
Увеличить