Официальное опубликование правовых актов
ОФИЦИАЛЬНОЕ ОПУБЛИКОВАНИЕ
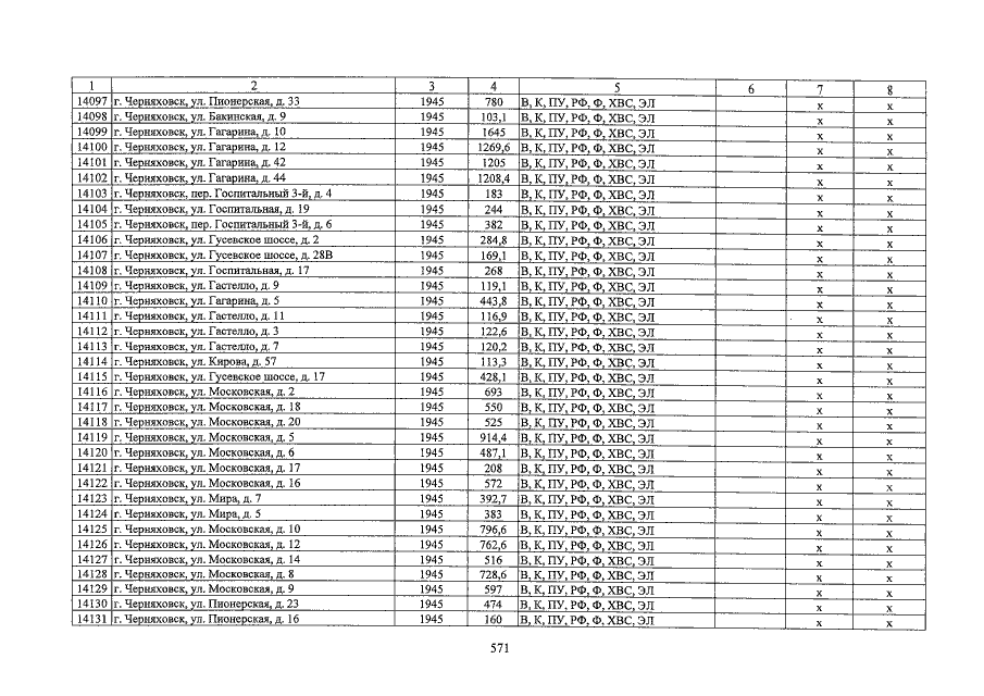
Постановление Правительства Калининградской области от 09.12.2014 № 826
"Об утверждении региональной программы капитального ремонта общего имущества в многоквартирных домах, расположенных на территории Калининградской области, на 2015-2044 годы"
Номер опубликования: 3900201412160005
Дата опубликования: 16.12.2014
Страница №578 из 607:
Увеличить