Официальное опубликование правовых актов
ОФИЦИАЛЬНОЕ ОПУБЛИКОВАНИЕ
Постановление Правительства Калининградской области от 06.11.2014 № 743
"О внесении изменений в постановление Правительства Калининградской области от 05 мая 2014 года № 274 и признании утратившим силу постановления Правительства Калининградской области от 28 августа 2014 года № 573"
Номер опубликования: 3900201411120003
Дата опубликования: 12.11.2014
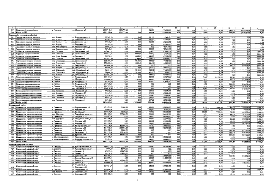
Страница №21 из 30:
Увеличить