Официальное опубликование правовых актов
ОФИЦИАЛЬНОЕ ОПУБЛИКОВАНИЕ
Приказ Министерства лесного комплекса Иркутской области от 30.12.2025 № 91-61-мпр
"О внесении изменений в лесохозяйственный регламент Чунского лесничества Иркутской области"
(Зарегистрирован 15.01.2026 № 03-0019/26)
Номер опубликования: 3801202601190001
Дата опубликования: 19.01.2026
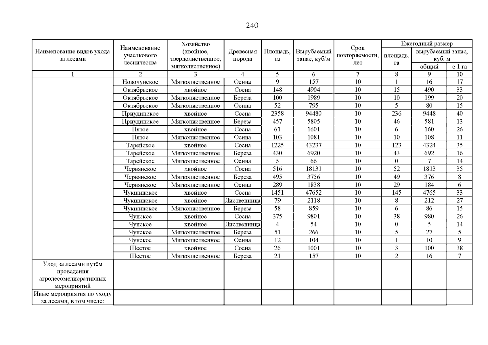
Страница №240 из 391:
Увеличить