Официальное опубликование правовых актов
ОФИЦИАЛЬНОЕ ОПУБЛИКОВАНИЕ
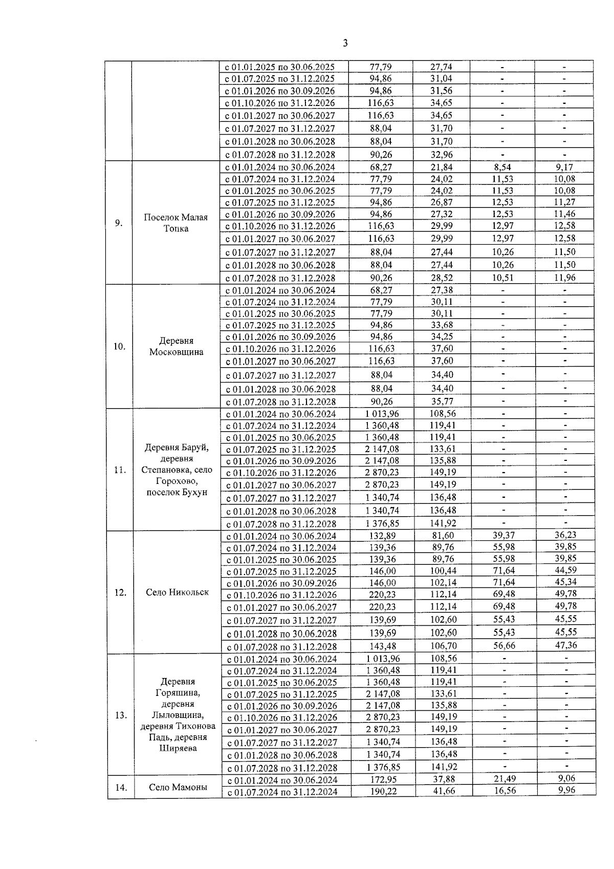
Приказ службы по тарифам Иркутской области от 19.12.2025 № 79-680-спр
"О внесении изменения в приказ службы по тарифам Иркутской области от 4 декабря 2023 года № 79-393-спр"
(Зарегистрирован 30.12.2025 № 04-2666/25)
Номер опубликования: 3801202601050024
Дата опубликования: 05.01.2026
Страница №3 из 4:
Увеличить