Официальное опубликование правовых актов
ОФИЦИАЛЬНОЕ ОПУБЛИКОВАНИЕ
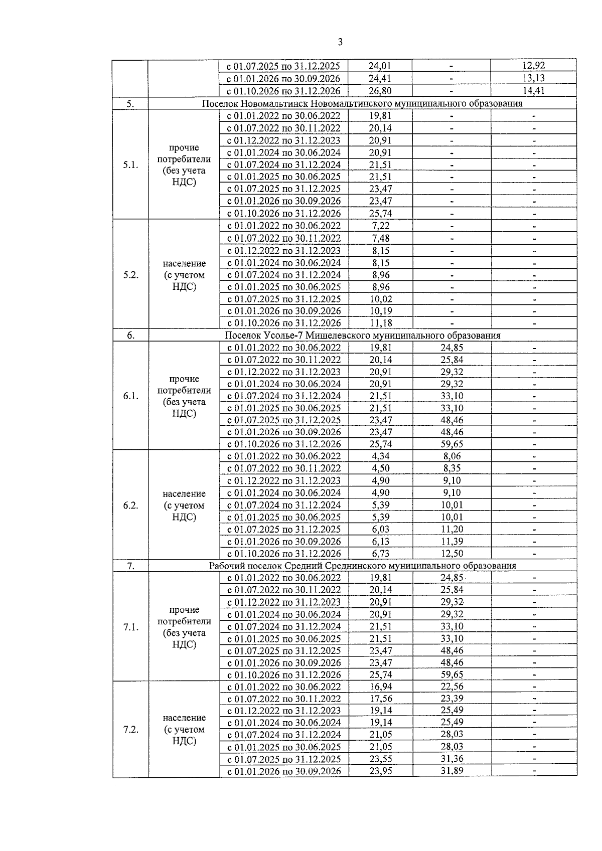
Приказ службы по тарифам Иркутской области от 18.12.2025 № 79-454-спр
"О внесении изменения в приказ службы по тарифам Иркутской области от 20 декабря 2021 года № 79-440-спр"
(Зарегистрирован 19.12.2025 № 04-2345/25)
Номер опубликования: 3801202512190025
Дата опубликования: 19.12.2025
Страница №3 из 5:
Увеличить