Официальное опубликование правовых актов
ОФИЦИАЛЬНОЕ ОПУБЛИКОВАНИЕ
Приказ Министерства лесного комплекса Иркутской области от 04.12.2025 № 91-50-мпр
"О внесении изменений в отдельные приказы министерства лесного комплекса Иркутской области"
(Зарегистрирован 09.12.2025 № 03-2241/25)
Номер опубликования: 3801202512180001
Дата опубликования: 18.12.2025
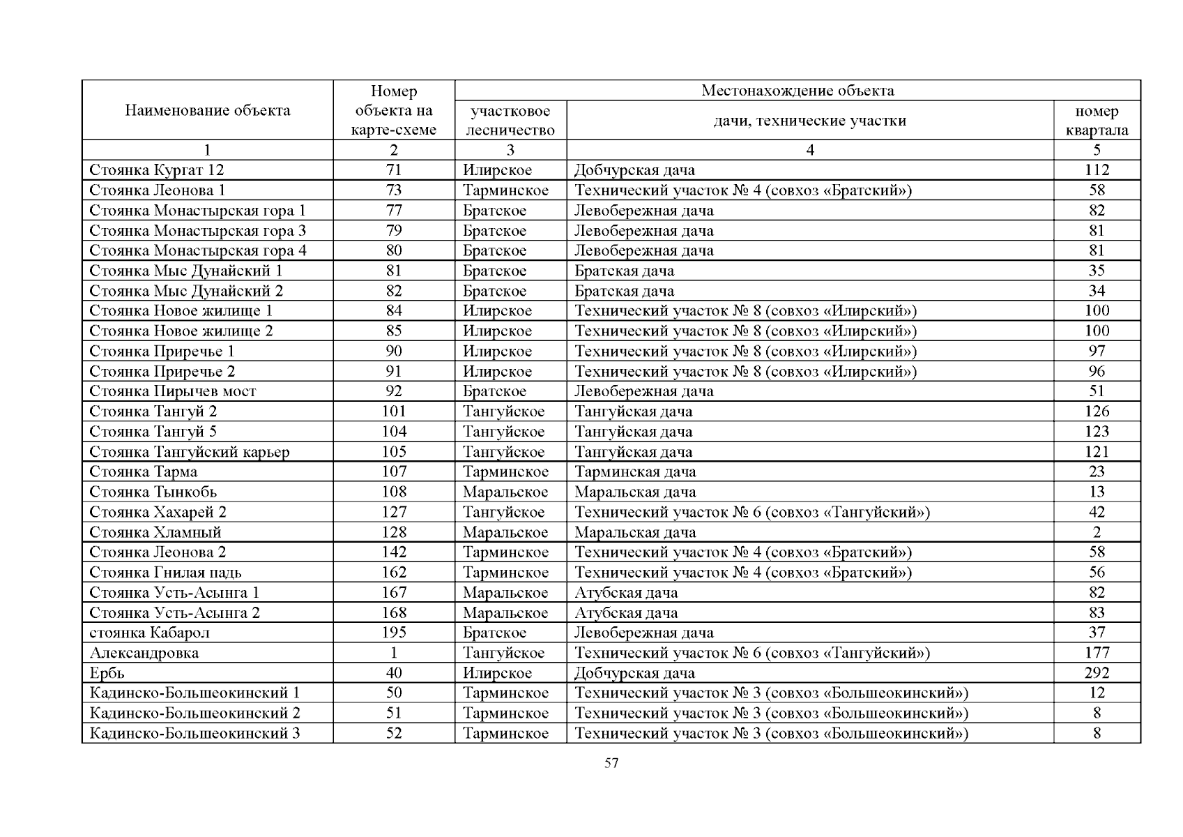
Страница №58 из 1805:
Увеличить