Официальное опубликование правовых актов
ОФИЦИАЛЬНОЕ ОПУБЛИКОВАНИЕ
Приказ Министерства природных ресурсов и экологии Иркутской области от 23.10.2025 № 66-49-мпр
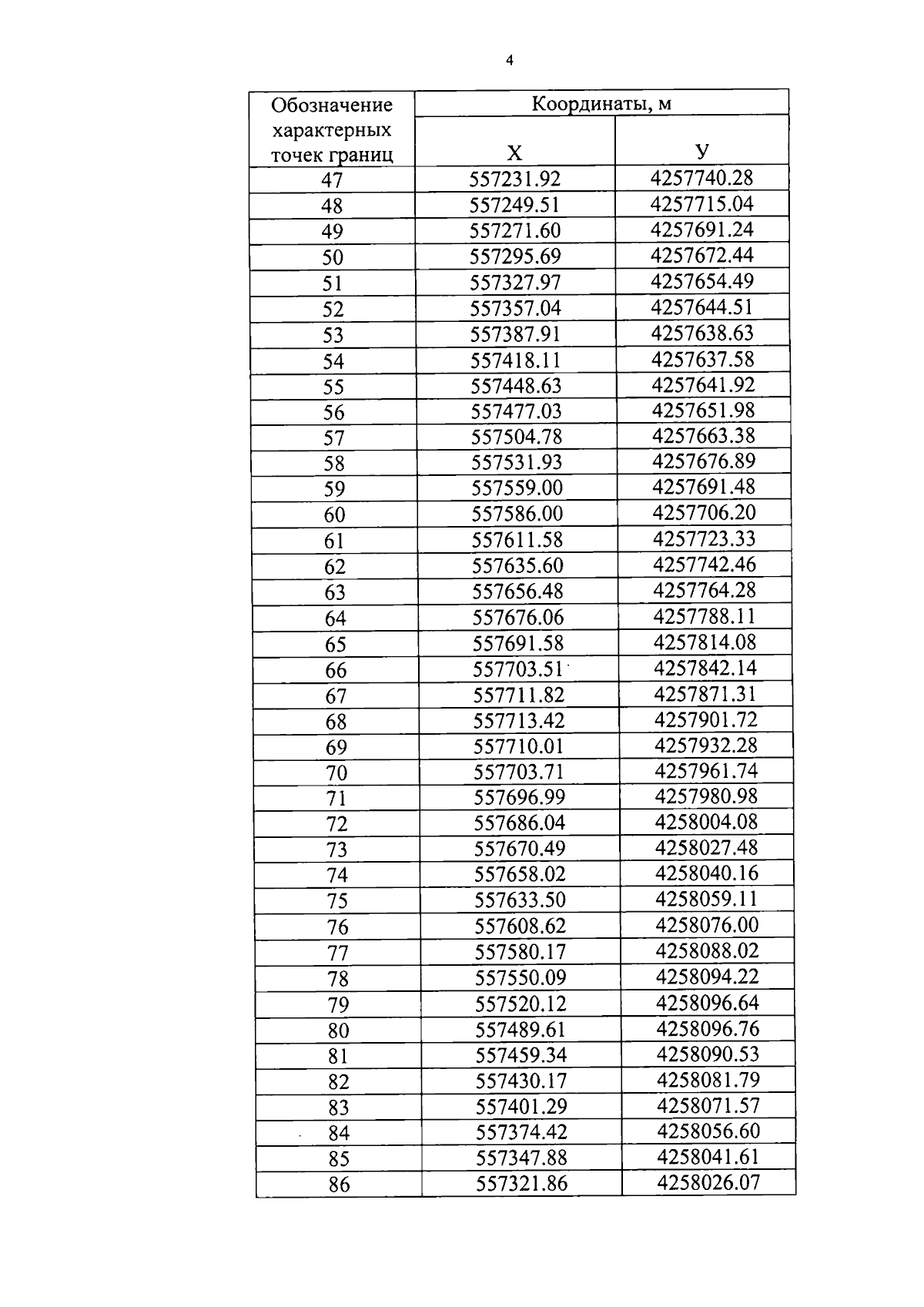
"Об установлении зоны санитарной охраны одиночного водозабора подземных вод (скважина б/н) для питьевого и хозяйственно-бытового водоснабжения д. Большой Косогол Качугского района Иркутской области, расположенного по адресу: ул. Центральная, 31А, устанавливающей границы зоны санитарной охраны подземного источника и ограничения использования земельных участков в границах зон"
(Зарегистрирован 23.10.2025 № 03-1958/25)
Номер опубликования: 3801202510240003
Дата опубликования: 24.10.2025
Страница №5 из 11:
Увеличить