Официальное опубликование правовых актов
ОФИЦИАЛЬНОЕ ОПУБЛИКОВАНИЕ
Приказ службы по охране объектов культурного наследия Иркутской области от 22.05.2025 № 76-197-спр
"О включении в единый государственный реестр объектов культурного наследия (памятников истории и культуры) народов Российской Федерации выявленного объекта культурного наследия"
(Зарегистрирован 03.06.2025 № 04-0849/25)
Номер опубликования: 3801202506050003
Дата опубликования: 05.06.2025
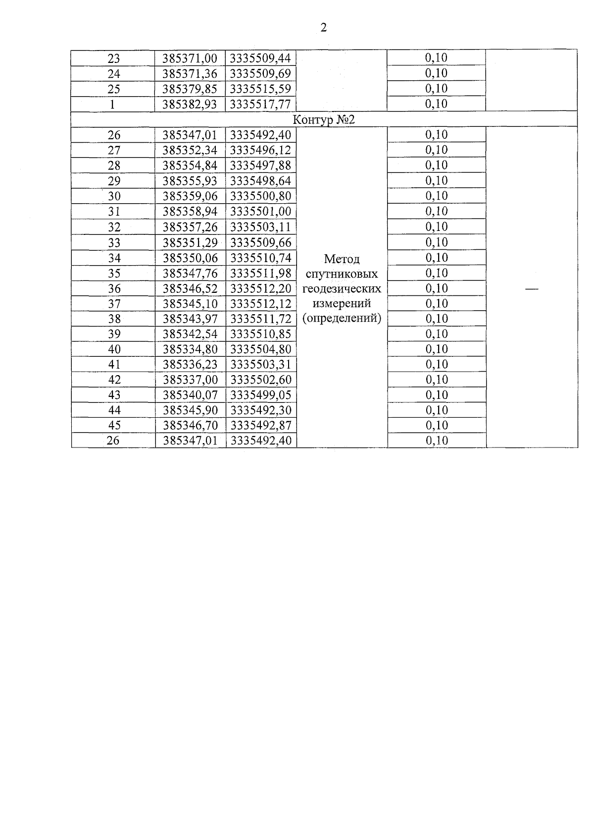
Страница №7 из 8:
Увеличить