Официальное опубликование правовых актов
ОФИЦИАЛЬНОЕ ОПУБЛИКОВАНИЕ
Приказ Министерства природных ресурсов и экологии Иркутской области от 02.06.2025 № 66-24-мпр
"Об установлении зоны санитарной охраны водозаборной скважины по адресу: Иркутская область, Братский район, в 89 м на север от границы д. Кардой"
(Зарегистрирован 02.06.2025 № 03-0824/25)
Номер опубликования: 3801202506020003
Дата опубликования: 02.06.2025
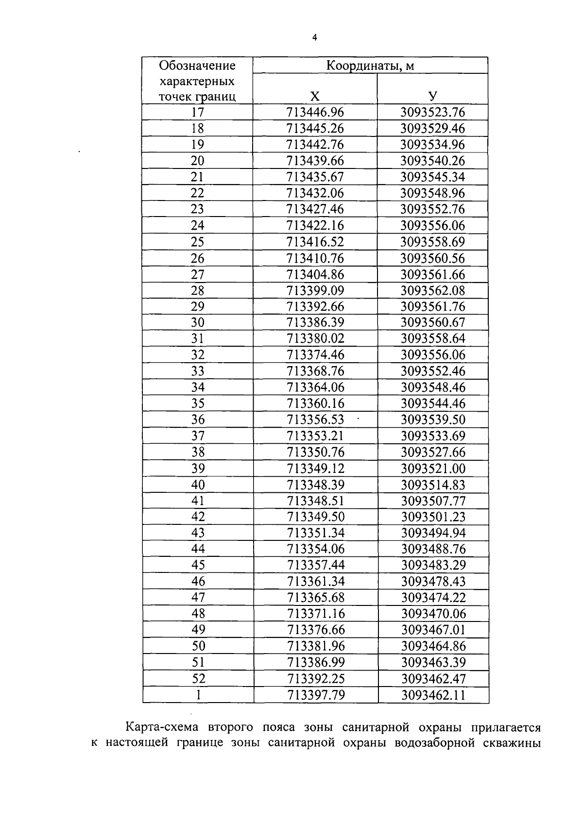
Страница №5 из 12:
Увеличить