Официальное опубликование правовых актов
ОФИЦИАЛЬНОЕ ОПУБЛИКОВАНИЕ
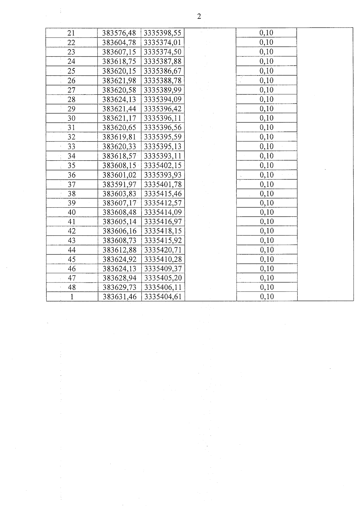
Приказ службы по охране объектов культурного наследия Иркутской области от 21.04.2025 № 76-103-спр
"О включении в единый государственный реестр объектов культурного наследия (памятников истории и культуры) народов Российской Федерации выявленного объекта культурного наследия"
(Зарегистрирован 05.05.2025 № 04-0598/25)
Номер опубликования: 3801202505120019
Дата опубликования: 12.05.2025
Страница №5 из 6:
Увеличить