Официальное опубликование правовых актов
ОФИЦИАЛЬНОЕ ОПУБЛИКОВАНИЕ
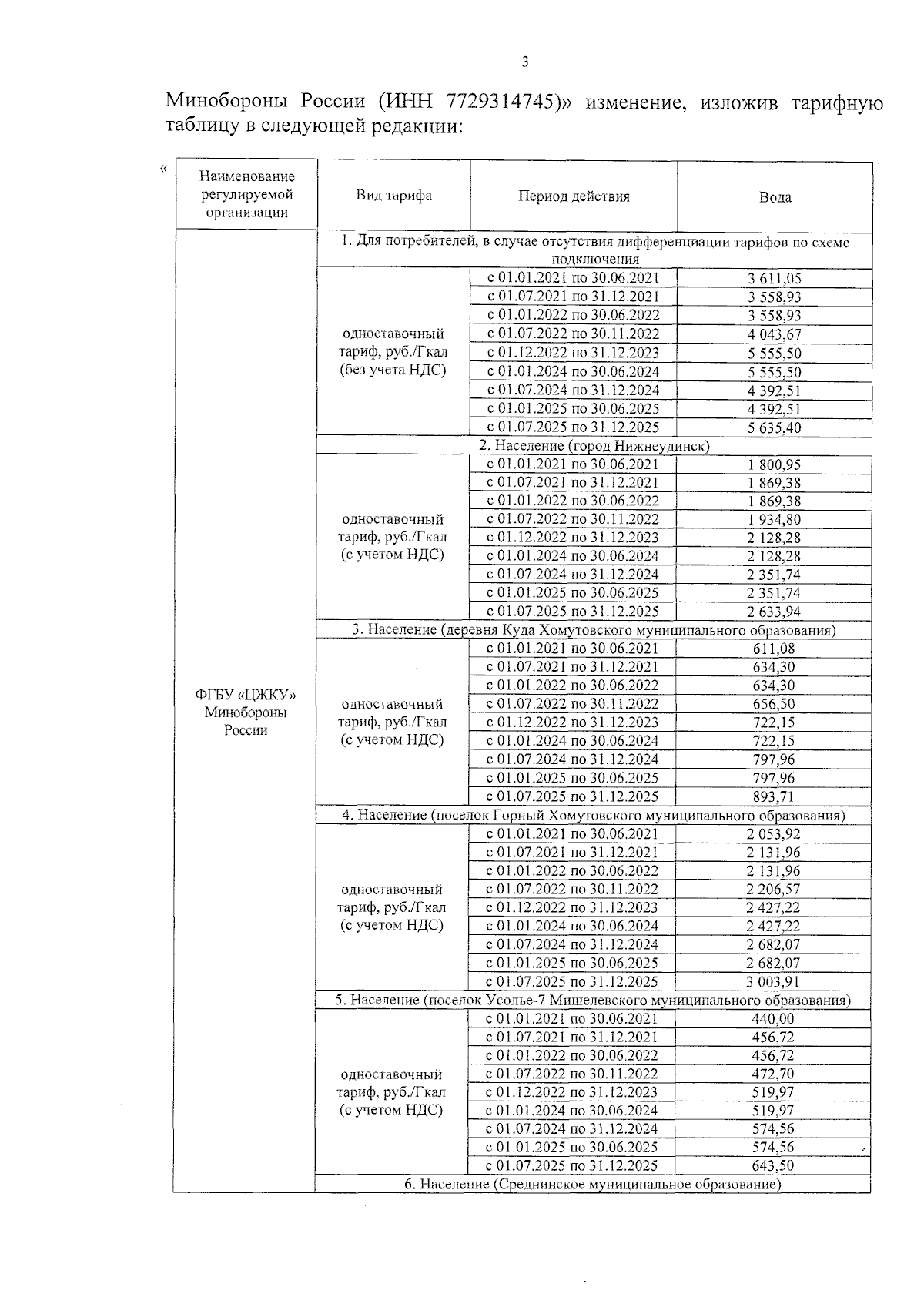
Приказ службы по тарифам Иркутской области от 20.12.2024 № 79-439-спр
"О внесении изменений в отдельные приказы службы по тарифам Иркутской области"
(Зарегистрирован 28.12.2024 № 04-2869/24)
Номер опубликования: 3801202412280065
Дата опубликования: 28.12.2024
Страница №3 из 79:
Увеличить