Официальное опубликование правовых актов
ОФИЦИАЛЬНОЕ ОПУБЛИКОВАНИЕ
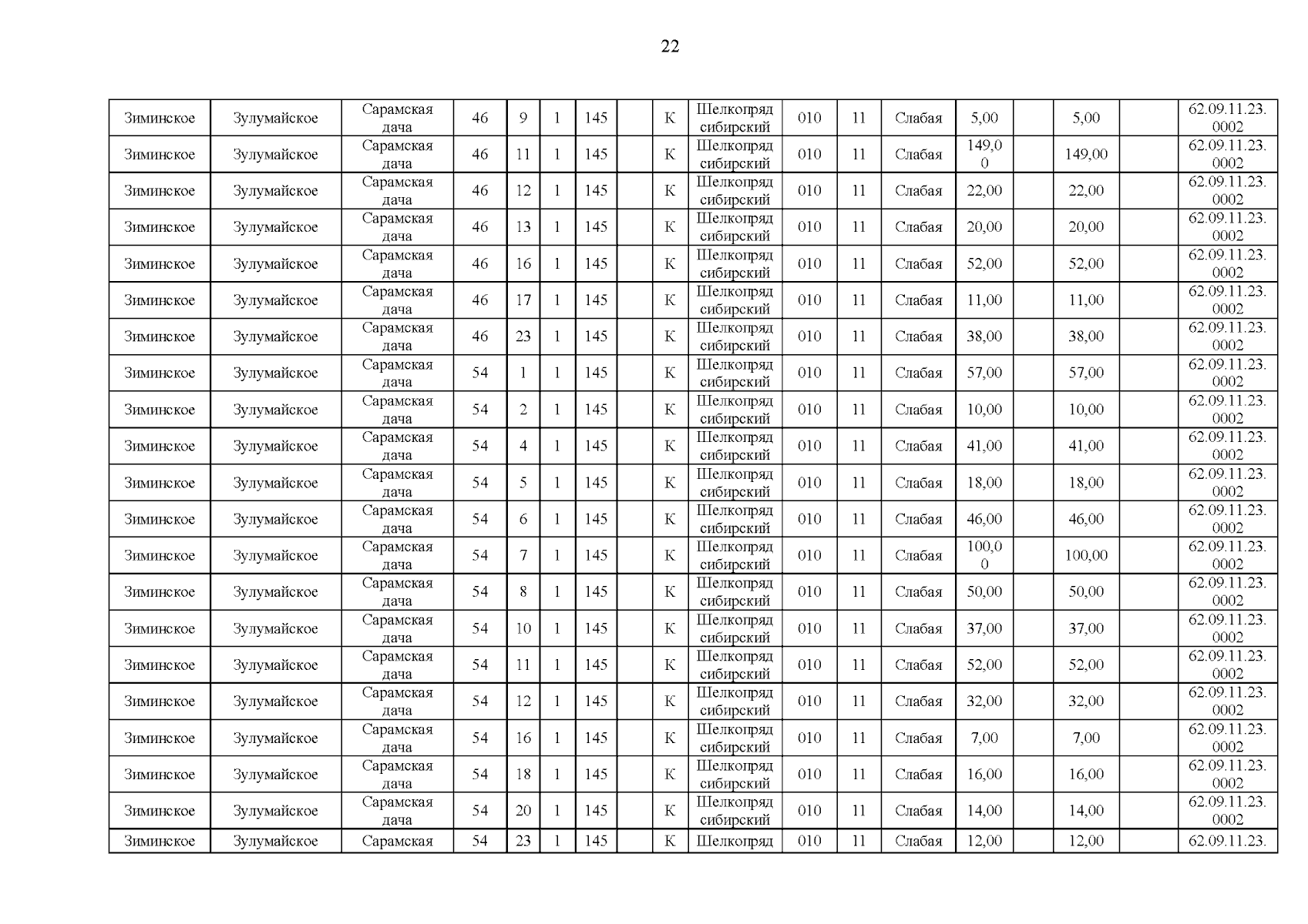
Приказ Министерства лесного комплекса Иркутской области от 09.12.2024 № 91-61-мпр
"О внесении изменений в приложения 4-6 к лесохозяйственному регламенту по Зиминскому лесничеству Иркутской области"
(Зарегистрирован 12.12.2024 № 03-2603/24)
Номер опубликования: 3801202412130004
Дата опубликования: 13.12.2024
Страница №23 из 48:
Увеличить