Официальное опубликование правовых актов
ОФИЦИАЛЬНОЕ ОПУБЛИКОВАНИЕ
Приказ Министерства природных ресурсов и экологии Иркутской области от 27.11.2024 № 66-76-мпр
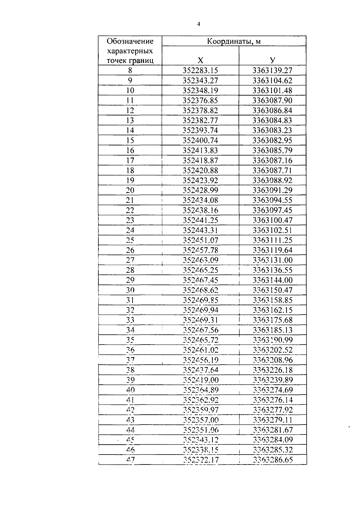
"Об установлении зоны санитарной охраны подземного источника водоснабжения действующего водозабора базы отдыха "Ангара" (скважины 2107, 2107', 2107а), устанавливающей границы ЗСО подземного водоисточника и ограничения использования земельных участков в границах зон"
(Зарегистрирован 27.11.2024 № 03-2450/24)
Номер опубликования: 3801202411280012
Дата опубликования: 28.11.2024
Страница №5 из 11:
Увеличить