Официальное опубликование правовых актов
ОФИЦИАЛЬНОЕ ОПУБЛИКОВАНИЕ
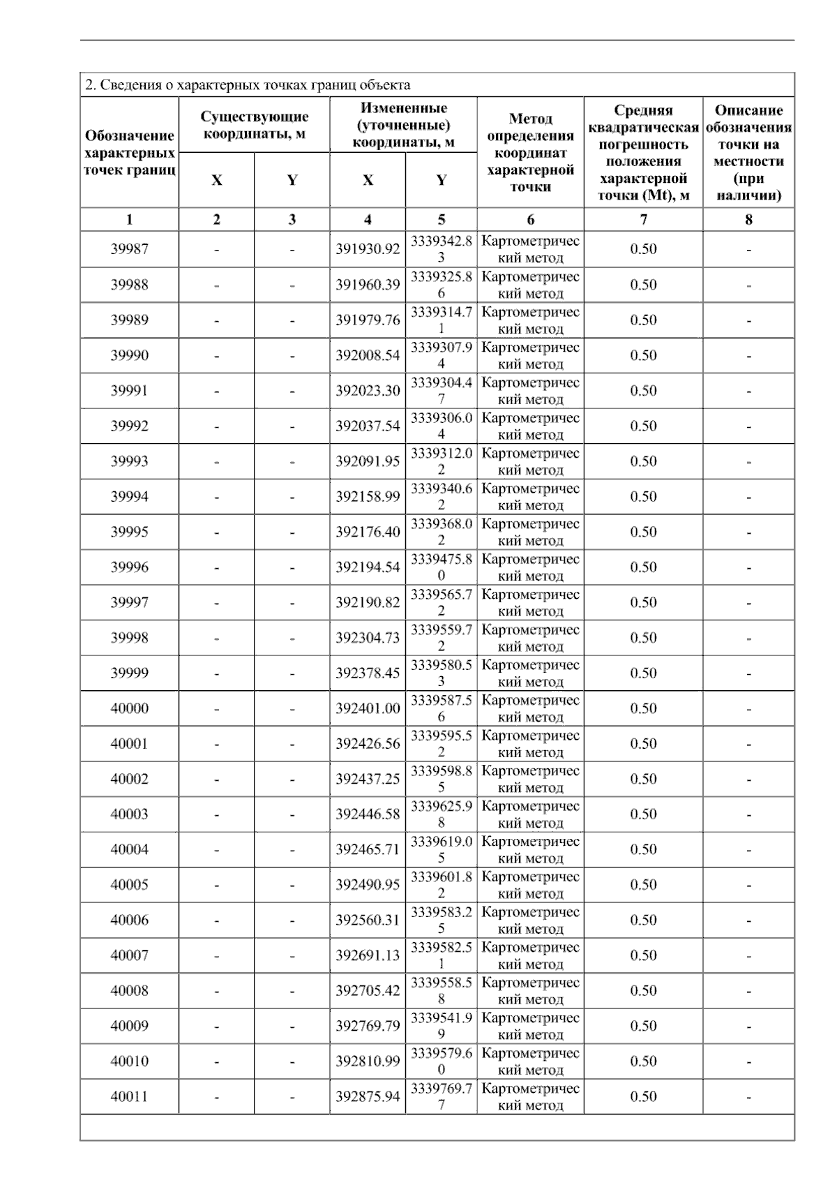
Приказ Министерства природных ресурсов и экологии Иркутской области от 16.09.2024 № 66-63-мпр
"О внесении изменений в приложение №2 к приказу министерства природных ресурсов и экологии Иркутской области № 66-72-мпр от 29 декабря 2022 года"
(Зарегистрирован 17.09.2024 № 03-1827/24)
Номер опубликования: 3801202409240002
Дата опубликования: 24.09.2024
Страница №1630 из 1734:
Увеличить