Приказ Министерства природных ресурсов и экологии Иркутской области от 26.08.2024 № 66-55-мпр
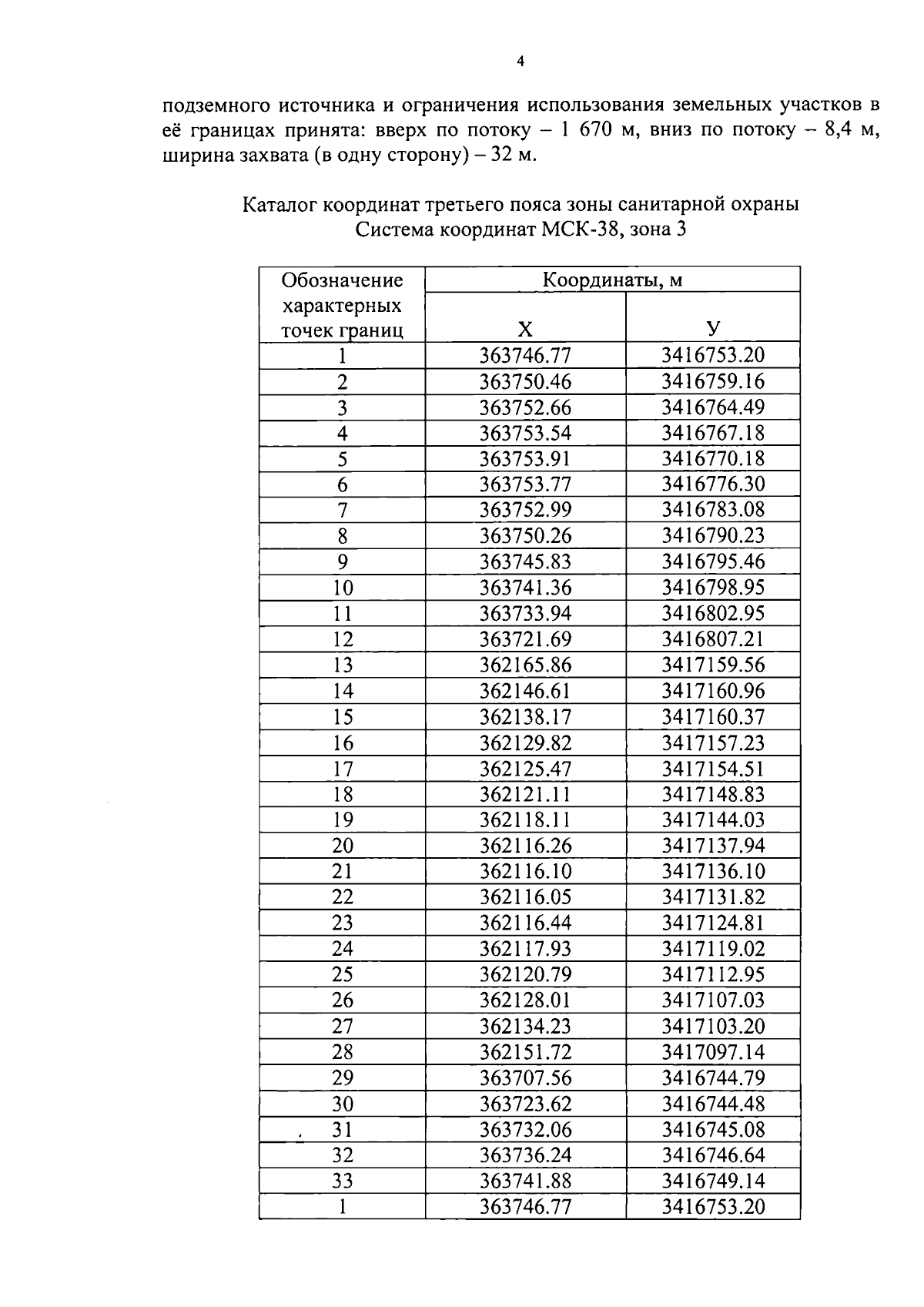
"Об установлении зоны санитарной охраны одиночного водозабора подземных вод, расположенного в 5 км на северо-восток от с. Большое Голоустное, в урочище "Степь", Иркутского района, Иркутской области, устанавливающей границы зоны санитарной охраны подземного источника и ограничения использования земельных участков в её границах"
(Зарегистрирован 27.08.2024 № 03-1718/24)
"Об установлении зоны санитарной охраны одиночного водозабора подземных вод, расположенного в 5 км на северо-восток от с. Большое Голоустное, в урочище "Степь", Иркутского района, Иркутской области, устанавливающей границы зоны санитарной охраны подземного источника и ограничения использования земельных участков в её границах"
(Зарегистрирован 27.08.2024 № 03-1718/24)
Номер опубликования: 3801202409020004
Дата опубликования:
02.09.2024
