Официальное опубликование правовых актов
ОФИЦИАЛЬНОЕ ОПУБЛИКОВАНИЕ
Приказ Агентства по обеспечению деятельности мировых судей Иркутской области от 27.08.2024 № 64-12-агпр
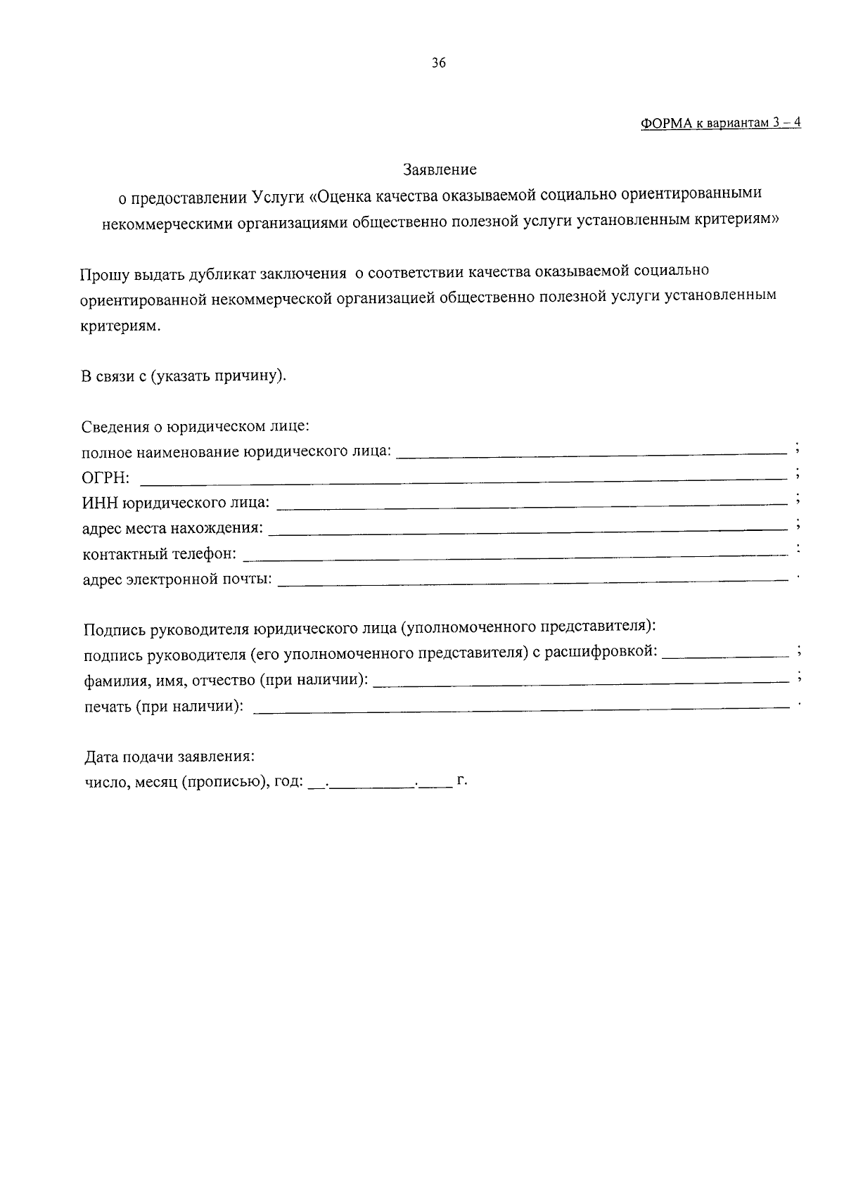
"Об утверждении Административного регламента Агентства по обеспечению деятельности мировых судей Иркутской области по предоставлению государственной услуги "Оценка качества оказываемой социально ориентированными некоммерческими организациями общественно полезной услуги установленным критериям"
(Зарегистрирован 28.08.2024 № 05-1731/24)
Номер опубликования: 3801202408280015
Дата опубликования: 28.08.2024
Страница №38 из 39:
Увеличить