Официальное опубликование правовых актов
ОФИЦИАЛЬНОЕ ОПУБЛИКОВАНИЕ
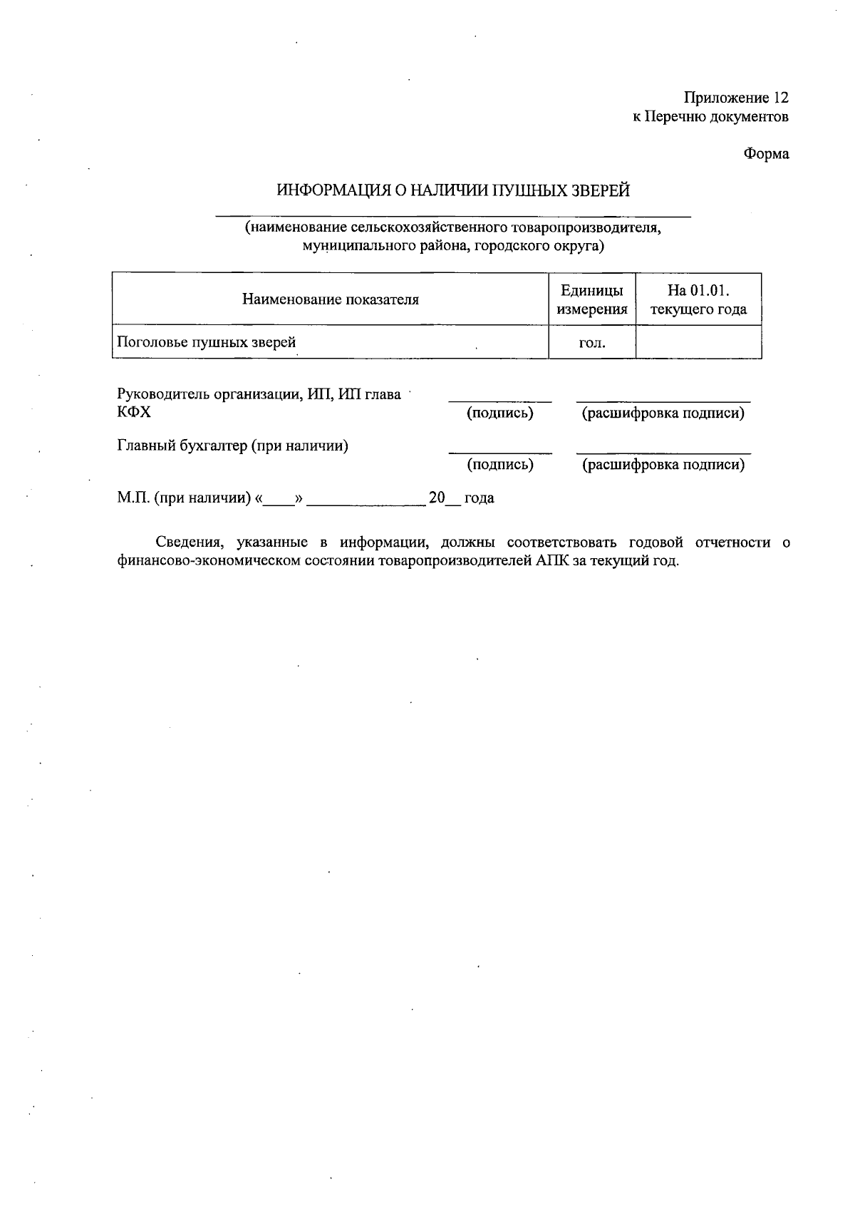
Приказ Министерства сельского хозяйства Иркутской области от 29.07.2024 № 57-27-мпр
"О внесении изменений в приказ министерства сельского хозяйства Иркутской области от 22 июля 2021 года № 30-мпр"
(Зарегистрирован 30.07.2024 № 03-1507/24)
Номер опубликования: 3801202407310001
Дата опубликования: 31.07.2024
Страница №41 из 46:
Увеличить