Приказ Министерства природных ресурсов и экологии Иркутской области от 15.05.2024 № 66-28-мпр
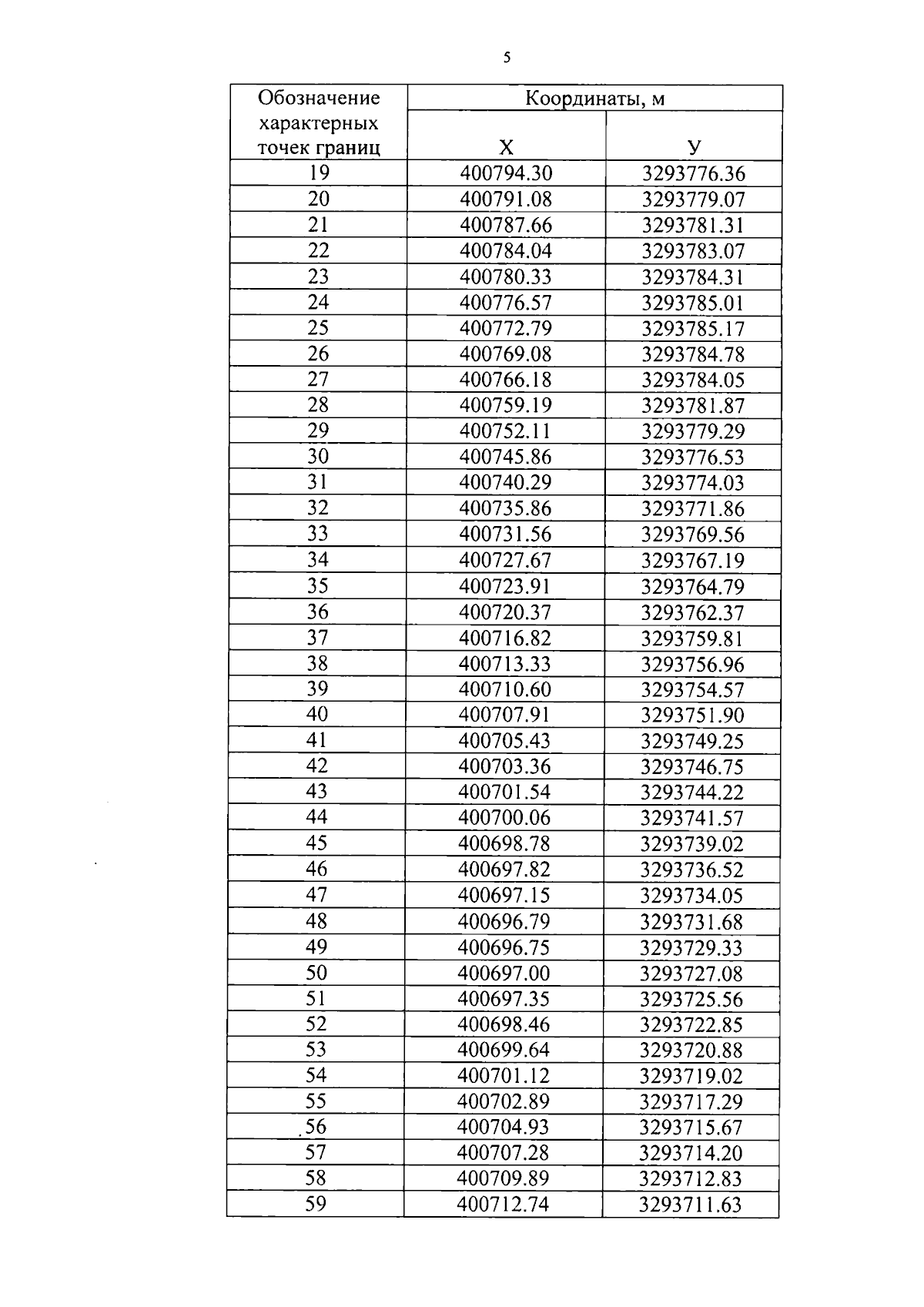
"Об установлении зон санитарной охраны источников питьевого и хозяйственно-бытового водоснабжения (водозаборной скважины № 4 (И-5747) 7-ой км автодороги г. Ангарск Ангарского городского округа Иркутской области) и ограничений использования земельных участков в границах зон санитарной охраны"
(Зарегистрирован 16.05.2024 № 03-0915/24)
"Об установлении зон санитарной охраны источников питьевого и хозяйственно-бытового водоснабжения (водозаборной скважины № 4 (И-5747) 7-ой км автодороги г. Ангарск Ангарского городского округа Иркутской области) и ограничений использования земельных участков в границах зон санитарной охраны"
(Зарегистрирован 16.05.2024 № 03-0915/24)
Номер опубликования: 3801202405160001
Дата опубликования:
16.05.2024
