Официальное опубликование правовых актов
ОФИЦИАЛЬНОЕ ОПУБЛИКОВАНИЕ
Приказ Министерства природных ресурсов и экологии Иркутской области от 26.04.2024 № 66-26-мпр
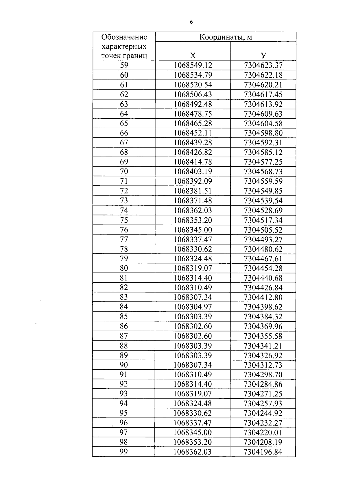
"Об установлении зон санитарной охраны проектируемого водозабора на участке "Светловский 504" для хозяйственно-питьевого водоснабжения и технологического обеспечения водой ГОКа "Светловский" пос. Светлый Иркутской области ИРК 014686 ВП (п. Светлый Бодайбинского р-на Иркутской области, скважины №№1э, 2э, 3э) ООО "СГРК"
(Зарегистрирован 27.04.2024 № 03-0872/24)
Номер опубликования: 3801202404300005
Дата опубликования: 30.04.2024
Страница №7 из 13:
Увеличить