Официальное опубликование правовых актов
ОФИЦИАЛЬНОЕ ОПУБЛИКОВАНИЕ
Приказ Министерства лесного комплекса Иркутской области от 15.03.2024 № 91-19-мпр
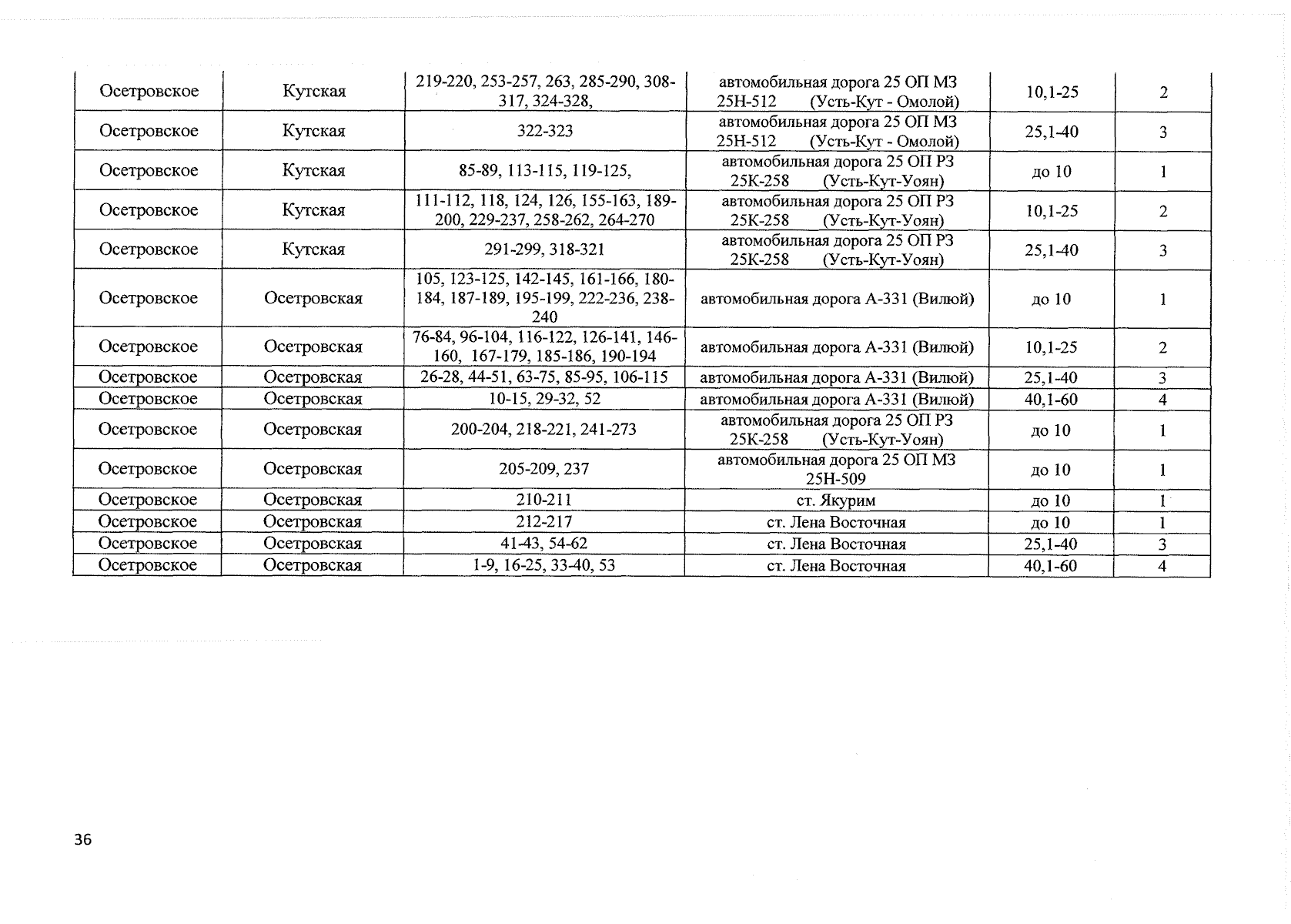
"Об утверждении распределения лесных кварталов по разрядам такс на территории Ангарского, Бодайбинского, Заларинского, Казачинско-Ленского, Качугского, Тулунского, Усть-Кутского, Усть-Ордынского, Усть-Удинского, Черемховского, Чунского, Шелеховского лесничеств"
(Зарегистрирован 19.03.2024 № 03-0596/24)
Номер опубликования: 3801202403250001
Дата опубликования: 25.03.2024
Страница №37 из 66:
Увеличить