Официальное опубликование правовых актов
ОФИЦИАЛЬНОЕ ОПУБЛИКОВАНИЕ
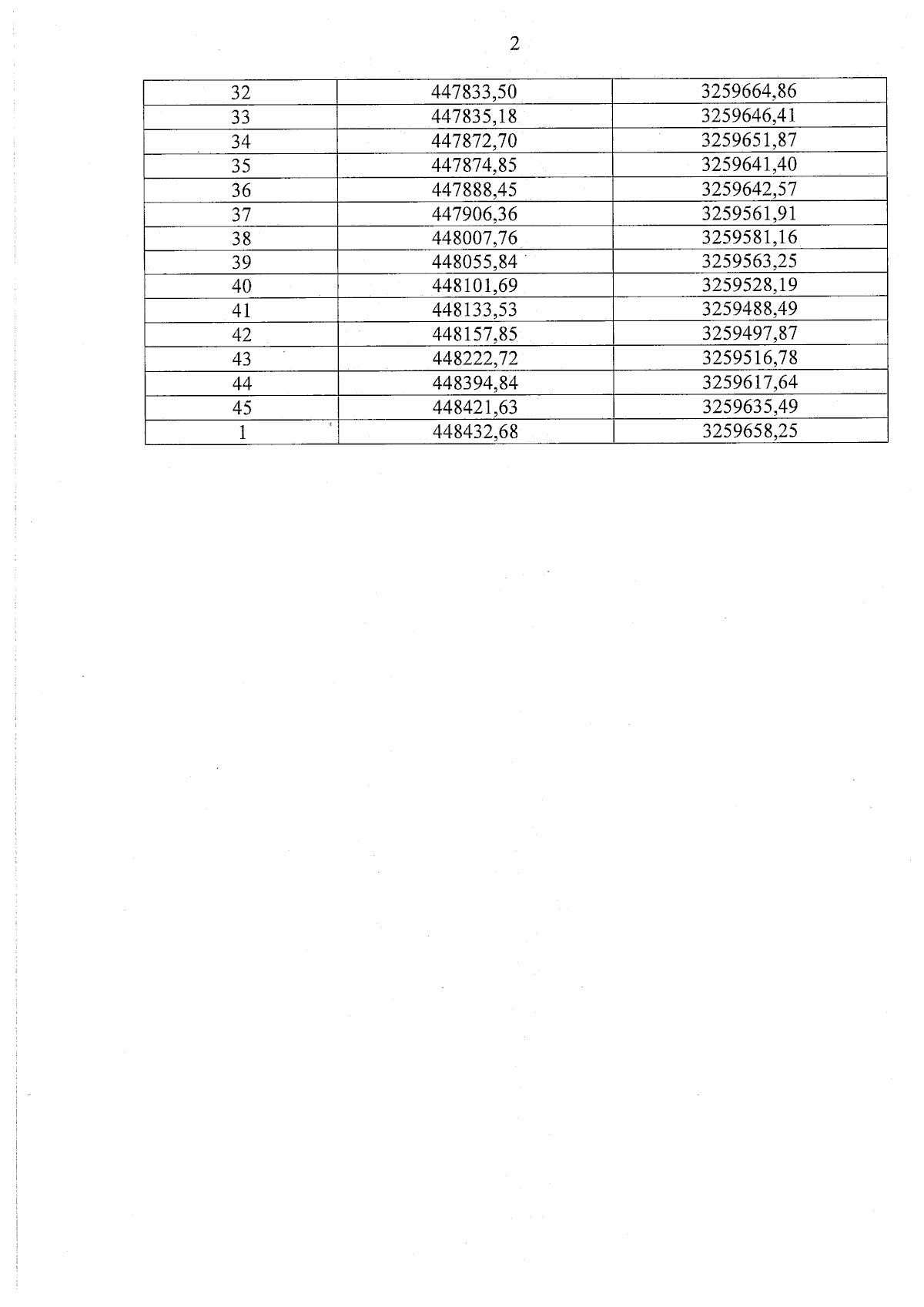
Приказ службы по охране объектов культурного наследия Иркутской области от 16.02.2024 № 76-206-спр
"О включении в единый государственный реестр объектов культурного наследия (памятников истории и культуры) народов Российской Федерации выявленного объекта культурного наследия"
(Зарегистрирован 29.02.2024 № 04-0396/24)
Номер опубликования: 3801202403060017
Дата опубликования: 06.03.2024
Страница №6 из 7:
Увеличить