Официальное опубликование правовых актов
ОФИЦИАЛЬНОЕ ОПУБЛИКОВАНИЕ
Приказ Министерства природных ресурсов и экологии Иркутской области от 29.01.2024 № 66-2-мпр
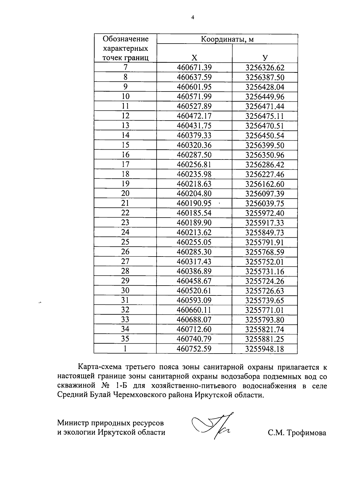
"Об установлении зоны санитарной охраны водозабора подземных вод со скважиной № 1-Б для хозяйственно-питьевого водоснабжения в селе Средний Булай Черемховского района Иркутской области"
(Зарегистрирован 29.01.2024 № 03-0063/24)
Номер опубликования: 3801202401290003
Дата опубликования: 29.01.2024
Страница №5 из 10:
Увеличить