Официальное опубликование правовых актов
ОФИЦИАЛЬНОЕ ОПУБЛИКОВАНИЕ
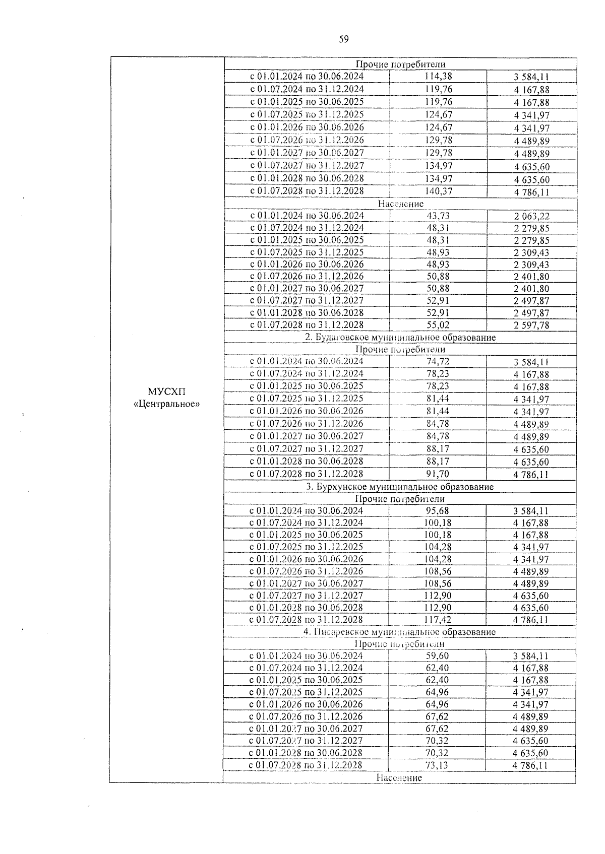
Приказ службы по тарифам Иркутской области от 20.12.2023 № 79-518-спр
"О внесении изменений в отдельные приказы службы по тарифам Иркутской области"
(Зарегистрирован 27.12.2023 № 04-3316/23)
Номер опубликования: 3801202312280034
Дата опубликования: 28.12.2023
Страница №59 из 78:
Увеличить