Официальное опубликование правовых актов
ОФИЦИАЛЬНОЕ ОПУБЛИКОВАНИЕ
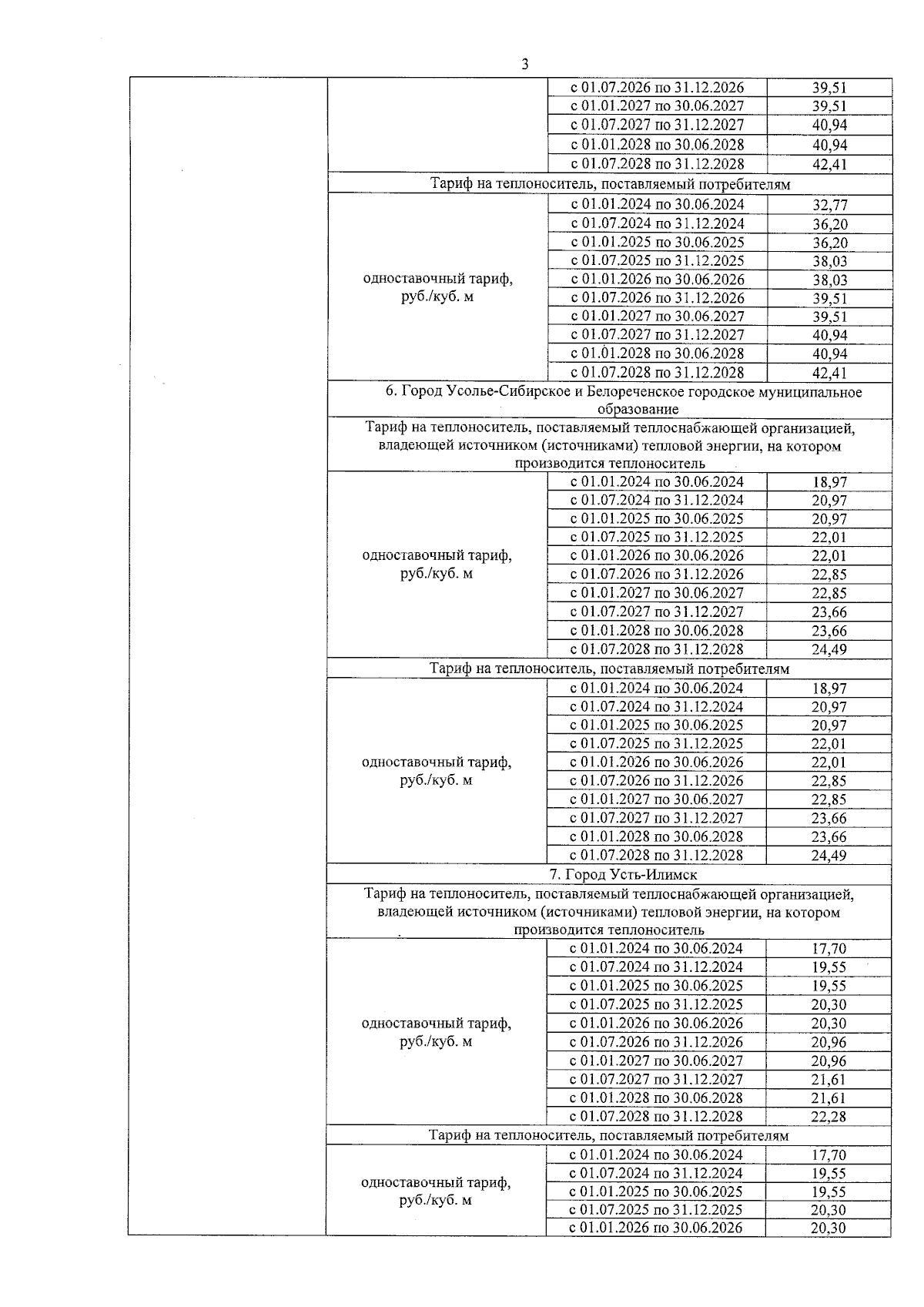
Приказ службы по тарифам Иркутской области от 20.12.2023 № 79-447-спр
"Об установлении долгосрочных тарифов на теплоноситель, поставляемый ООО "Байкальская энергетическая компания" (ИНН 3808229774)"
(Зарегистрирован 26.12.2023 № 04-3263/23)
Номер опубликования: 3801202312260012
Дата опубликования: 26.12.2023
Страница №4 из 7:
Увеличить