Официальное опубликование правовых актов
ОФИЦИАЛЬНОЕ ОПУБЛИКОВАНИЕ
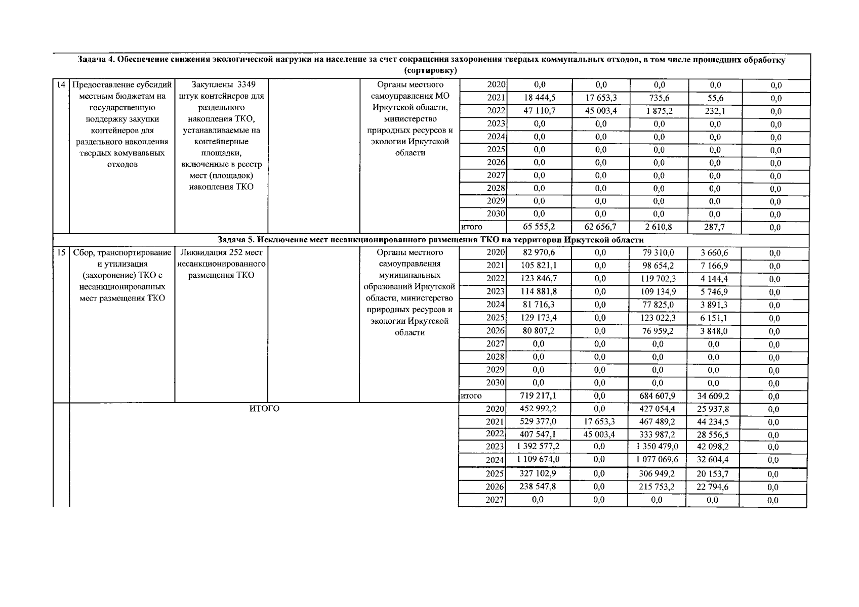
Приказ Министерства природных ресурсов и экологии Иркутской области от 01.12.2023 № 66-59-мпр
"О внесении изменений в приказ министерства природных ресурсов и экологии Иркутской области от 9 ноября 2021 года № 72-мпр"
(Зарегистрирован 11.12.2023 № 03-3087/23)
Номер опубликования: 3801202312110016
Дата опубликования: 11.12.2023
Страница №20 из 30:
Увеличить