Официальное опубликование правовых актов
ОФИЦИАЛЬНОЕ ОПУБЛИКОВАНИЕ
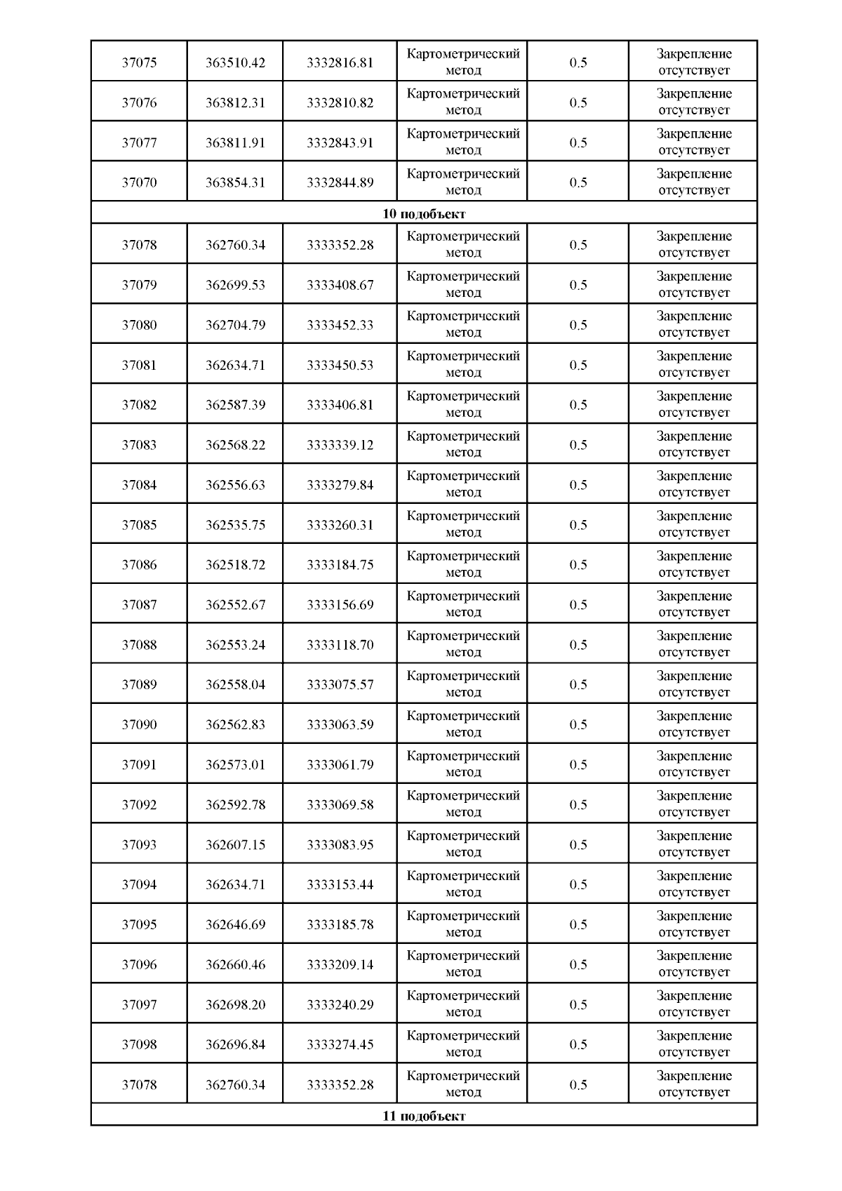
Приказ Министерства природных ресурсов и экологии Иркутской области от 28.08.2023 № 66-38-мпр
"О внесении изменений в приложение №2 к приказу министерства природных ресурсов и экологии Иркутской области № 66-72-мпр от 29 декабря 2022 года"
(Зарегистрирован 29.08.2023 № 03-2088/23)
Номер опубликования: 3801202309040005
Дата опубликования: 04.09.2023
Страница №1408 из 1614:
Увеличить