Официальное опубликование правовых актов
ОФИЦИАЛЬНОЕ ОПУБЛИКОВАНИЕ
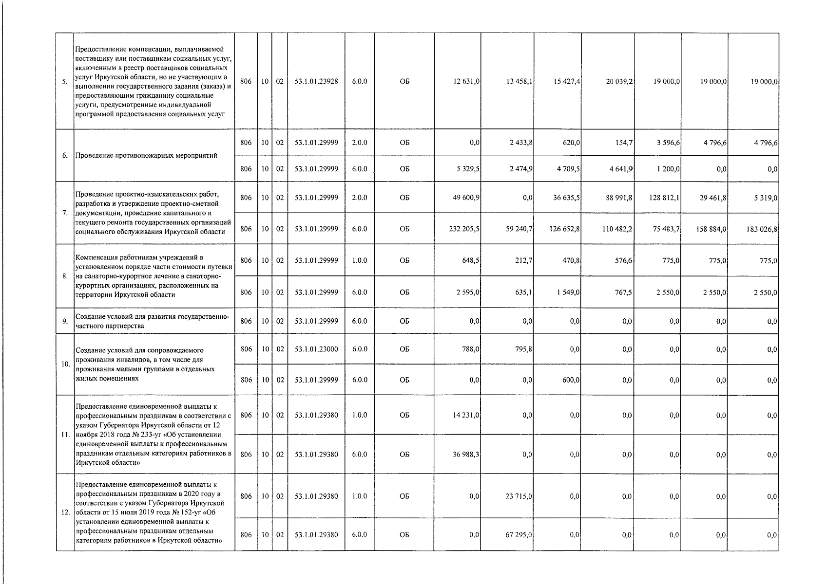
Приказ Министерства социального развития, опеки и попечительства Иркутской области от 24.08.2023 № 53-102-мпр
"О внесении изменений в ведомственную целевую программу "Социальное обслуживание населения Иркутской области" на 2019 – 2025 годы"
(Зарегистрирован 25.08.2023 № 03-2051/23)
Номер опубликования: 3801202308290015
Дата опубликования: 29.08.2023
Страница №8 из 9:
Увеличить