Официальное опубликование правовых актов
ОФИЦИАЛЬНОЕ ОПУБЛИКОВАНИЕ
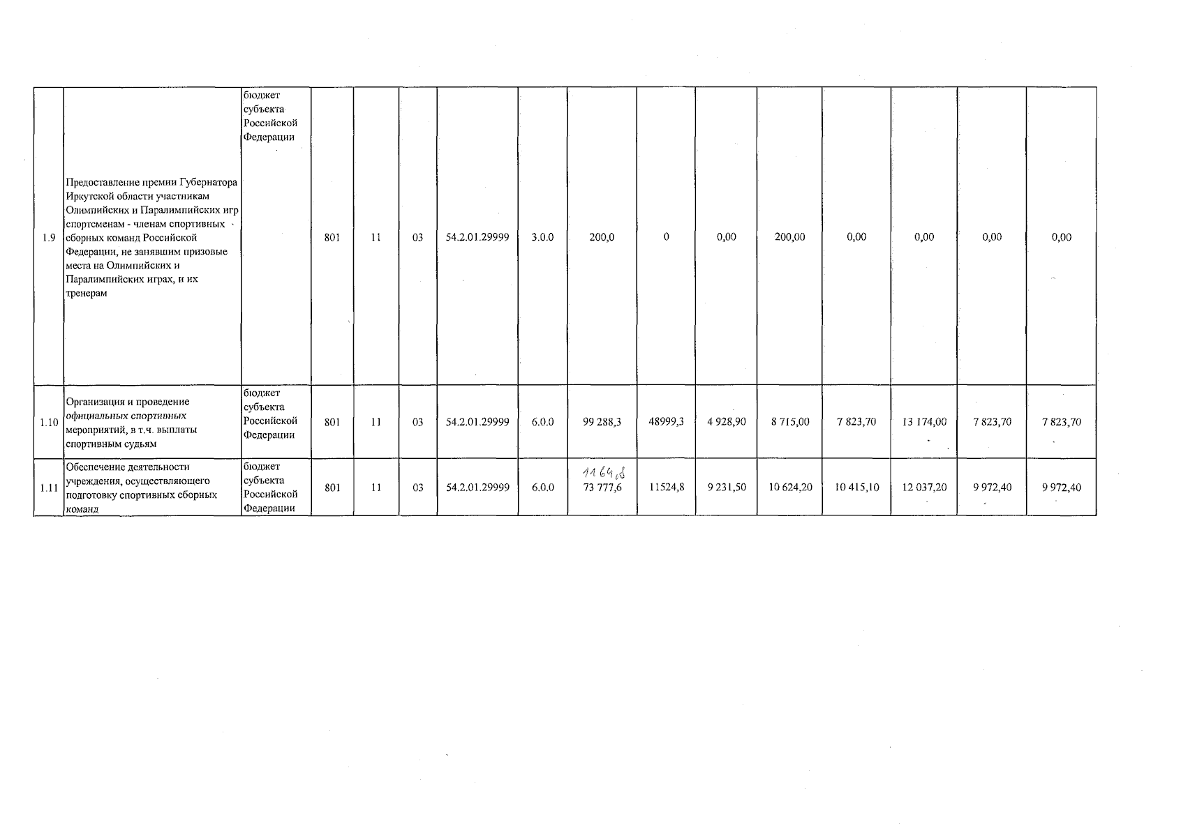
Приказ Министерства спорта Иркутской области от 08.08.2023 № 96-32-мпр
"О внесении изменений в ведомственную целевую программу "Подготовка спортсменов высокого класса" на 2019-2025 годы"
(Зарегистрирован 10.08.2023 № 03-1944/23)
Номер опубликования: 3801202308100066
Дата опубликования: 10.08.2023
Страница №12 из 14:
Увеличить