Официальное опубликование правовых актов
ОФИЦИАЛЬНОЕ ОПУБЛИКОВАНИЕ
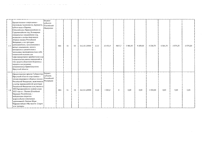
Приказ Министерства спорта Иркутской области от 10.07.2023 № 96-28-мпр
"О внесении изменений в ведомственную целевую программу "Подготовка спортсменов высокого класса" на 2019-2025 годы"
(Зарегистрирован 11.07.2023 № 03-1551/23)
Номер опубликования: 3801202307130008
Дата опубликования: 13.07.2023
Страница №10 из 12:
Увеличить