Официальное опубликование правовых актов
ОФИЦИАЛЬНОЕ ОПУБЛИКОВАНИЕ
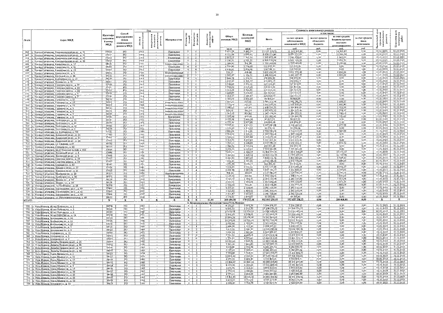
Приказ Министерства жилищной политики и энергетики Иркутской области от 17.05.2023 № 58-17-мпр
"О внесении изменения в краткосрочный план реализации в 2023-2025 годах региональной программы капитального ремонта общего имущества в многоквартирных домах на территории Иркутской области"
(Зарегистрирован 22.05.2023 № 03-1021/23)
Номер опубликования: 3801202305240019
Дата опубликования: 24.05.2023
Страница №11 из 66:
Увеличить