Официальное опубликование правовых актов
ОФИЦИАЛЬНОЕ ОПУБЛИКОВАНИЕ
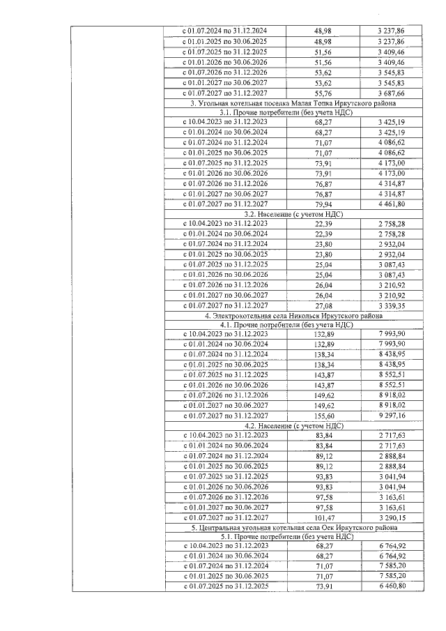
Приказ службы по тарифам Иркутской области от 07.04.2023 № 79-44-спр
"Об установлении долгосрочных тарифов на горячую воду в отношении единой теплоснабжающей организации на территории Иркутского района в соответствующих зонах деятельности (ООО "Южнобайкальское", ИНН 3848006527), обеспечивающей горячее водоснабжение с использованием открытой системы теплоснабжения (горячего водоснабжения)"
(Зарегистрирован 10.04.2023 № 04-0696/23)
Номер опубликования: 3801202304100015
Дата опубликования: 10.04.2023
Страница №4 из 6:
Увеличить