Официальное опубликование правовых актов
ОФИЦИАЛЬНОЕ ОПУБЛИКОВАНИЕ
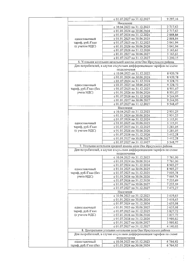
Приказ службы по тарифам Иркутской области от 07.04.2023 № 79-42-спр
"Об установлении долгосрочных тарифов на тепловую энергию в отношении единой теплоснабжающей организации на территории Иркутского района в соответствующих зонах деятельности (ООО "Южнобайкальское", ИНН 3848006527)"
(Зарегистрирован 10.04.2023 № 04-0694/23)
Номер опубликования: 3801202304100007
Дата опубликования: 10.04.2023
Страница №5 из 11:
Увеличить