Официальное опубликование правовых актов
ОФИЦИАЛЬНОЕ ОПУБЛИКОВАНИЕ
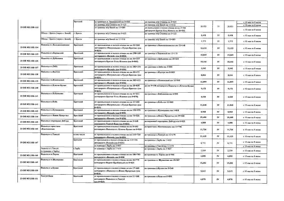
Приказ Министерства транспорта и дорожного хозяйства Иркутской области от 17.03.2023 № 61-7-мпр
"О введении временного ограничения движения транспортных средств по автомобильным дорогам общего пользования регионального или межмуниципального значения Иркутской области в весенний период 2023 года"
(Зарегистрирован 20.03.2023 № 03-0513/23)
Номер опубликования: 3801202303200007
Дата опубликования: 20.03.2023
Страница №27 из 87:
Увеличить