Официальное опубликование правовых актов
ОФИЦИАЛЬНОЕ ОПУБЛИКОВАНИЕ
Приказ Министерства строительства Иркутской области от 15.02.2023 № 59-3-мпр
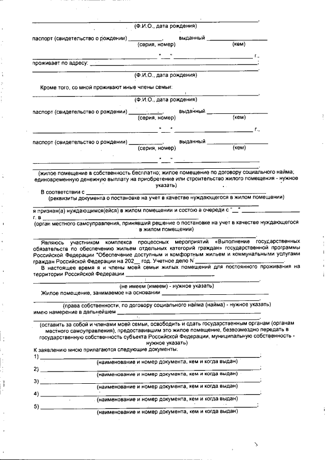
"О внесении изменений в приложение 2 к административному регламенту предоставления государственной услуги "Предоставление отдельным категориям граждан жилых помещений в собственность бесплатно или по договору социального найма и предоставление им единовременной денежной выплаты на приобретение или строительство жилого помещения в Иркутской области"
(Зарегистрирован 17.02.2023 № 03-0297/23)
Номер опубликования: 3801202302210003
Дата опубликования: 21.02.2023
Страница №3 из 4:
Увеличить