Официальное опубликование правовых актов
ОФИЦИАЛЬНОЕ ОПУБЛИКОВАНИЕ
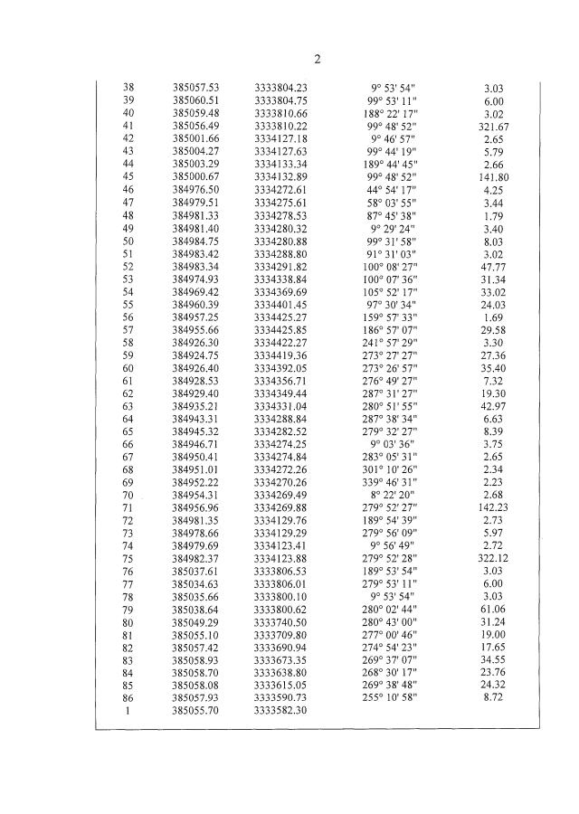
Приказ службы по охране объектов культурного наследия Иркутской области от 27.01.2023 № 76-56-спр
"Об утверждении границ территории и режима использования территории объекта культурного наследия регионального значения"
(Зарегистрирован 01.02.2023 № 04-0155/23)
Номер опубликования: 3801202302070057
Дата опубликования: 07.02.2023
Страница №4 из 7:
Увеличить