Официальное опубликование правовых актов
ОФИЦИАЛЬНОЕ ОПУБЛИКОВАНИЕ
Приказ Министерства природных ресурсов и экологии Иркутской области от 09.01.2023 № 66-1-мпр
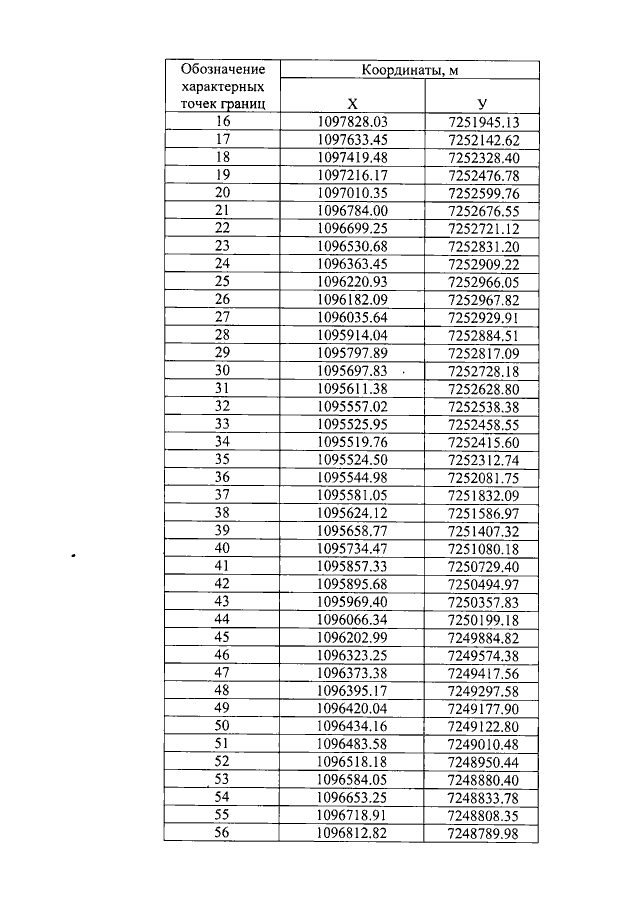
"Об установлении зоны санитарной охраны подземного водозабора в верховьях реки Угахан для обеспечения хозяйственно-питьевого водоснабжения и технологического обеспечения водой объектов инфраструктуры при разработке месторождения "Сухой Лог"
(Зарегистрирован 10.01.2023 № 03-0001/23)
Номер опубликования: 3801202301110001
Дата опубликования: 11.01.2023
Страница №7 из 13:
Увеличить