Официальное опубликование правовых актов
ОФИЦИАЛЬНОЕ ОПУБЛИКОВАНИЕ
Приказ Министерства жилищной политики и энергетики Иркутской области от 30.12.2022 № 58-29-мпр
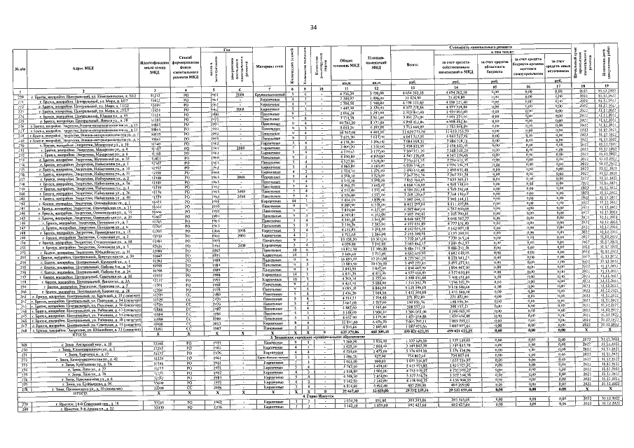
"О внесении изменения в краткосрочный план реализации в 2020-2022 годах региональной программы капитального ремонта общего имущества в многоквартирных домах на территории Иркутской области"
Номер опубликования: 3801202212300029
Дата опубликования: 30.12.2022
Страница №35 из 92:
Увеличить