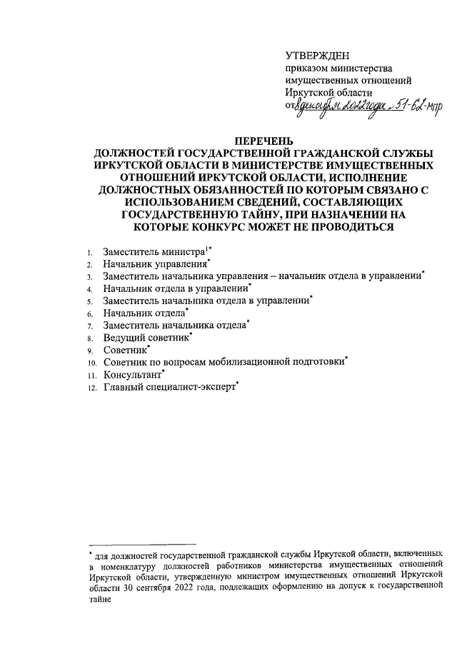
Приказ Министерства имущественных отношений Иркутской области от 08.12.2022 № 51-62-мпр
"Об утверждении Перечня должностей государственной гражданской службы Иркутской области в министерстве имущественных отношений Иркутской области, исполнение должностных обязанностей по которым связано с использованием сведений, составляющих государственную тайну, при назначении на которые конкурс может не проводиться"
"Об утверждении Перечня должностей государственной гражданской службы Иркутской области в министерстве имущественных отношений Иркутской области, исполнение должностных обязанностей по которым связано с использованием сведений, составляющих государственную тайну, при назначении на которые конкурс может не проводиться"
Номер опубликования: 3801202212090009
Дата опубликования:
09.12.2022
