Официальное опубликование правовых актов
ОФИЦИАЛЬНОЕ ОПУБЛИКОВАНИЕ
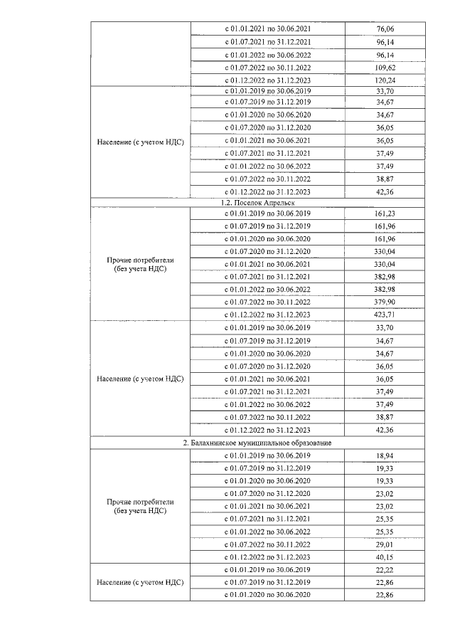
Приказ службы по тарифам Иркутской области от 29.11.2022 № 79-708-спр
"О внесении изменения в приказ службы по тарифам Иркутской области от 20 декабря 2018 года № 467-спр"
Номер опубликования: 3801202212010130
Дата опубликования: 01.12.2022
Страница №2 из 3:
Увеличить