Официальное опубликование правовых актов
ОФИЦИАЛЬНОЕ ОПУБЛИКОВАНИЕ
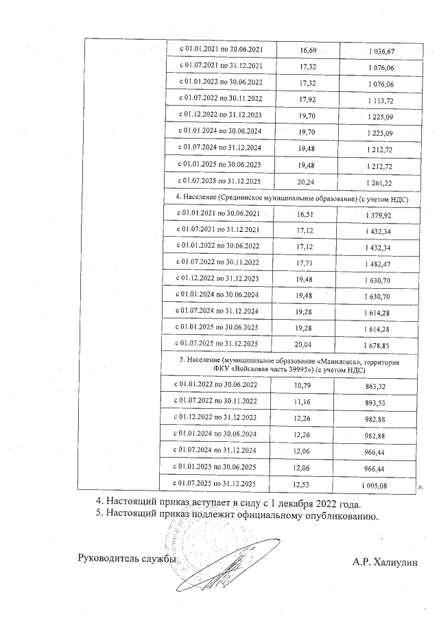
Приказ службы по тарифам Иркутской области от 28.11.2022 № 79-409-спр
"О внесении изменений в отдельные приказы службы по тарифам Иркутской области"
Номер опубликования: 3801202211290012
Дата опубликования: 29.11.2022
Страница №5 из 5:
Увеличить