Официальное опубликование правовых актов
ОФИЦИАЛЬНОЕ ОПУБЛИКОВАНИЕ
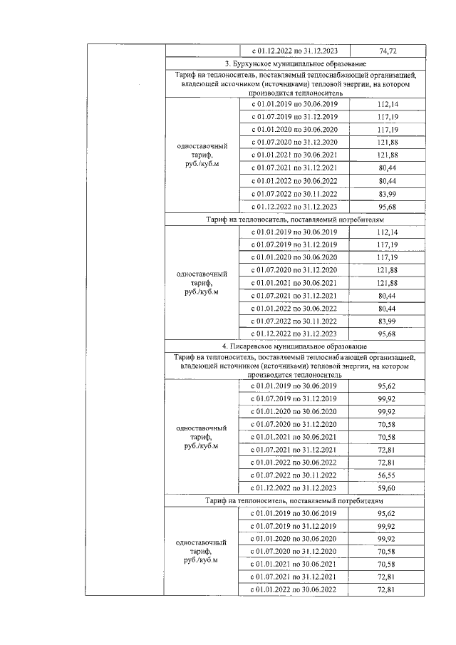
Приказ службы по тарифам Иркутской области от 25.11.2022 № 79-357-спр
"О внесении изменений в отдельные приказы службы по тарифам Иркутской области"
Номер опубликования: 3801202211280006
Дата опубликования: 28.11.2022
Страница №4 из 6:
Увеличить