Официальное опубликование правовых актов
ОФИЦИАЛЬНОЕ ОПУБЛИКОВАНИЕ
Приказ Министерства жилищной политики и энергетики Иркутской области от 18.11.2022 № 58-22-мпр
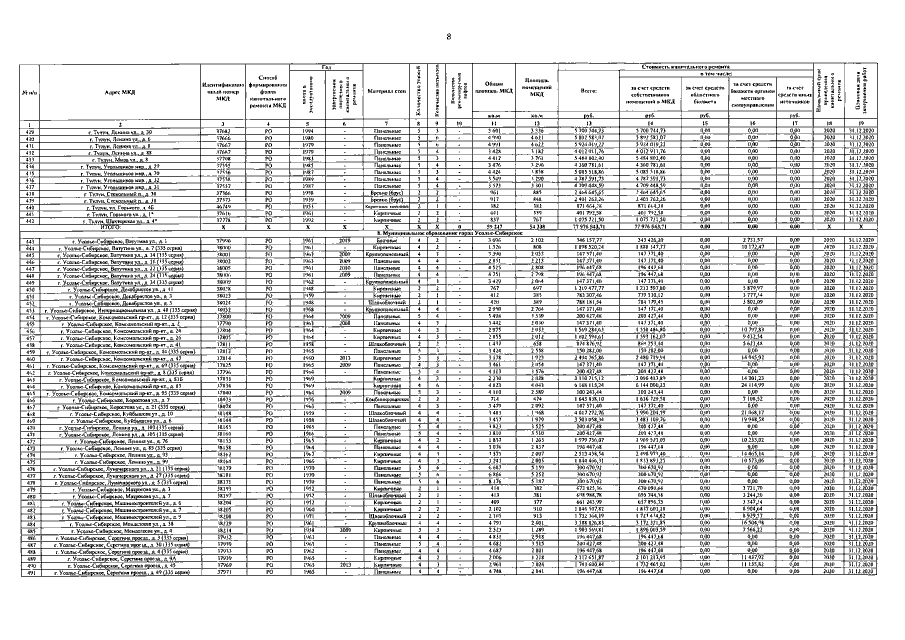
"О внесении изменения в краткосрочный план реализации в 2020-2022 годах региональной программы капитального ремонта общего имущества в многоквартирных домах на территории Иркутской области"
Номер опубликования: 3801202211210008
Дата опубликования: 21.11.2022
Страница №9 из 88:
Увеличить