Официальное опубликование правовых актов
ОФИЦИАЛЬНОЕ ОПУБЛИКОВАНИЕ
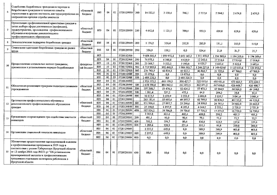
Приказ Министерства труда и занятости Иркутской области от 25.10.2022 № 41-мпр
"О внесении изменений в ведомственную целевую программу Иркутской области "Содействие занятости населения Иркутской области" на 2019 – 2024 годы"
Номер опубликования: 3801202210280019
Дата опубликования: 28.10.2022
Страница №7 из 8:
Увеличить