Официальное опубликование правовых актов
ОФИЦИАЛЬНОЕ ОПУБЛИКОВАНИЕ
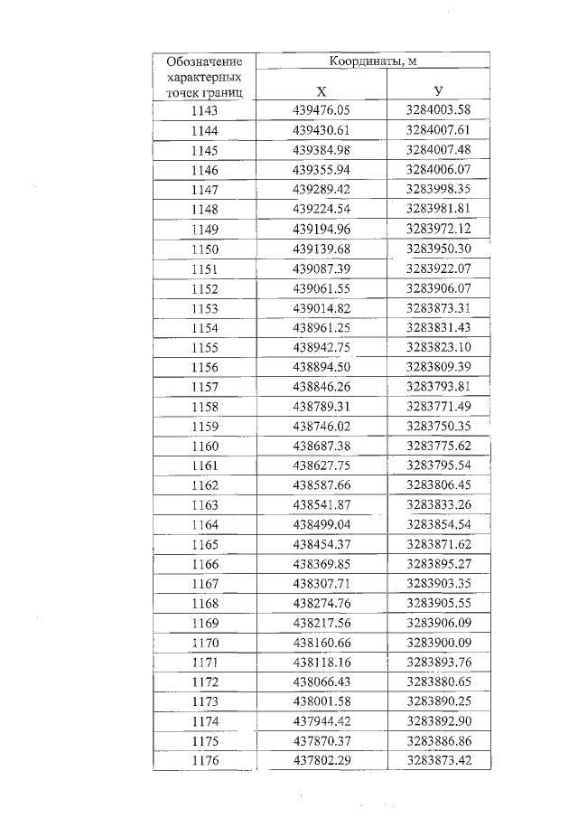
Приказ Министерства природных ресурсов и экологии Иркутской области от 25.10.2022 № 66-56-мпр
"Об установлении зоны санитарной охраны действующего водозабора поверхностных вод на р. Белая ООО "АкваСервис" (Братское водохранилище)"
Номер опубликования: 3801202210280017
Дата опубликования: 28.10.2022
Страница №37 из 117:
Увеличить