Официальное опубликование правовых актов
ОФИЦИАЛЬНОЕ ОПУБЛИКОВАНИЕ
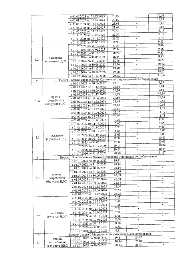
Приказ службы по тарифам Иркутской области от 20.12.2021 № 79-440-спр
"Об установлении долгосрочных тарифов на водоснабжение и водоотведение для потребителей ФГБУ "ЦЖКУ" Минобороны России (ИНН 7729314745)"
Номер опубликования: 3801202112230035
Дата опубликования: 23.12.2021
Страница №4 из 10:
Увеличить