Официальное опубликование правовых актов
ОФИЦИАЛЬНОЕ ОПУБЛИКОВАНИЕ
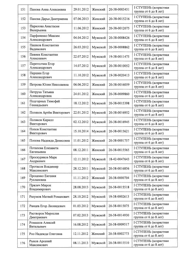
Приказ Министерства спорта Иркутской области от 18.02.2021 № 96-6-мпр
"Об утверждении списков лиц, награжденных серебряным и бронзовым знаками отличия Всероссийского физкультурно-спортивного комплекса "Готов к труду и обороне" (ГТО)"
Номер опубликования: 3801202102190005
Дата опубликования: 19.02.2021
Страница №8 из 138:
Увеличить