Официальное опубликование правовых актов
ОФИЦИАЛЬНОЕ ОПУБЛИКОВАНИЕ
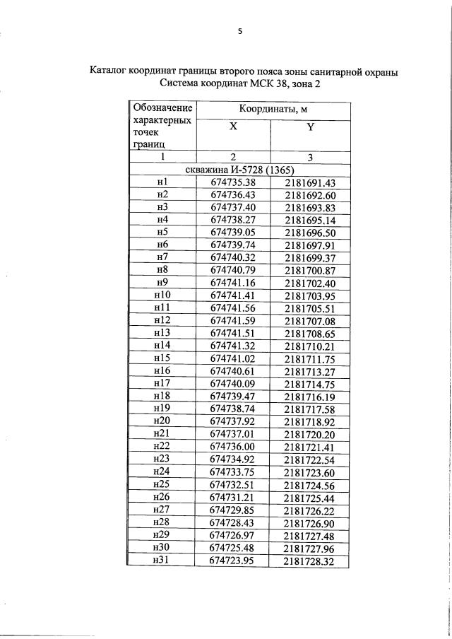
Приказ Министерства природных ресурсов и экологии Иркутской области от 21.09.2020 № 44-мпр
"Об установлении зоны санитарной охраны подземного источника водоснабжения для хозяйственно-питьевого и производственного водоснабжения НПС "Нижнеудинск" ООО "Транснефть-Восток" г. Нижнеудинск Иркутской области"
Номер опубликования: 3801202009220009
Дата опубликования: 22.09.2020
Страница №6 из 24:
Увеличить