Официальное опубликование правовых актов
ОФИЦИАЛЬНОЕ ОПУБЛИКОВАНИЕ
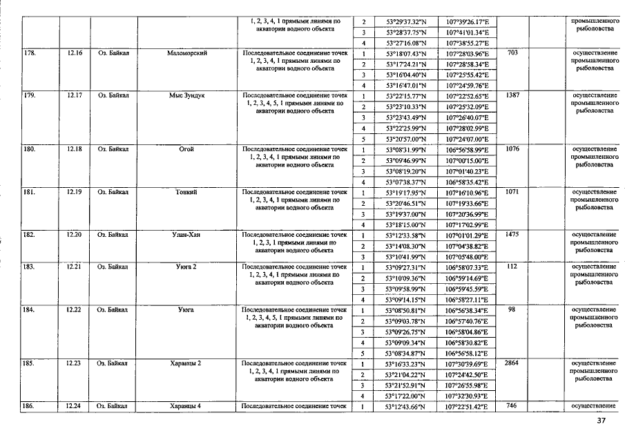
Приказ Министерства сельского хозяйства Иркутской области от 27.08.2020 № 56-мпр
"Об утверждении Перечня рыболовных участков, выделенных в водных объектах Иркутской области"
Номер опубликования: 3801202008280010
Дата опубликования: 28.08.2020
Страница №38 из 227:
Увеличить